¿Ú´üÅ£µêAPP-ÖúÁ¦ÌåÓýÈüÊÂЧÀÍÊý×Ö»¯ ÈÃÈüÊÂÔËÓª¸ü¼òÆÓ

¹©Ó¦ÉÌÈë¿Ú
ENØ­ÖÐÎÄ
¹Ù·½ÈÈÏߣº0510-66622538
¿Ú´üÅ£µê
ÄúËùÔÚµÄλÖãºÊ×Ò³ ×ÊѶÖÐÐÄ ÐÐÒµ°Ù¿Æ »úµç²úÆ·³ö¿Úµç´Å¼æÈÝÐÔÒªÇóÓÐÄÄЩ£¿£¿£¿£¿£¿

»úµç²úÆ·³ö¿Úµç´Å¼æÈÝÐÔÒªÇóÓÐÄÄЩ£¿£¿£¿£¿£¿

µç´Å¼æÈÝÐÔÊÇÎ÷Å·Êг¡³£ÓõÄÒ»ÖַǹØË°ÊÖÒÕ±ÚÀÝ£¬£¬ £¬£¬£¬¸Ã±ÚÀÝͨ³£ÒÔÊÖÒÕ¹æÔò¡¢±ê×¼ºÍ¼°¸ñÆÀ¶¨³ÌÐòµÈÐÎʽ·ºÆð£¬£¬ £¬£¬£¬Ïà¹Ø²úÆ·ÊÕÖ§¿ÚÆóÒµÓ¦³ä·ÖÖØÊÓ²úÆ·µÄµç´Å¼æÈÝÒªÇ󣬣¬ £¬£¬£¬È·±£·øÉäºÍ´«µ¼µÈÖ÷Òª²âÊÔÏîÄ¿ÇкϹú¼ÊÊг¡×¼ÈëÒªÇó ¡£¡£¡£ ¡£¡£

»úµç²úÆ·µÄÆÕ±éʹÓôøÀ´Á˵ç´Å¼æÈÝÎÊÌ⣬£¬ £¬£¬£¬ÓÉÓÚµç´Å²¨²»¿É¼û£¬£¬ £¬£¬£¬µç´Å¼æÈݳÉΪһÖÖÒ×±»ºöÊÓµÄΣº¦ÒòËØ ¡£¡£¡£ ¡£¡£µç´Å¼æÈݰüÀ¨É§ÈźͿ¹ÈŶÈÁ½¸ö·½Ãæ ¡£¡£¡£ ¡£¡£É§ÈÅÊÇÖ¸²úÆ·ÔÚÕý³£ÔËÐÐÀú³ÌÖжÔËùÔÚÇéÐα¬·¢µÄµç´Å×ÌÈŲ»¿ÉÁè¼Ý»®¶¨ÏÞÖµ£¬£¬ £¬£¬£¬¿¹ÈŶÈÊÇÖ¸²úÆ·¶ÔËùÔÚÇéÐÎÖб£´æµÄµç´Å×ÌÈžßÓÐÒ»¶¨Ë®Æ½µÄ¿¹ÈÅÄÜÁ¦ ¡£¡£¡£ ¡£¡£

·øÉäɧÈÅÊǵç´Å¼æÈݵÄÖ÷Òª²âÊÔÏîÄ¿£¬£¬ £¬£¬£¬¸ÃÏîĿҪÇó°´±ê×¼»®¶¨¾ÙÐвâÊÔÔ°µØµÄ°²ÅźÍÉèÖ㬣¬ £¬£¬£¬ºÃ±È²âÊÔÐèÔڵ粨°µÊÒ»òÆÁÕÏÊÒÖоÙÐУ¬£¬ £¬£¬£¬²âÊÔ֮ǰ԰µØ±ØÐè¾­ÓɼÆÁ¿Ð£×¼£¬£¬ £¬£¬£¬Ô°µØË¥¼õ»òÅä¾°ÔëÉùµÈ²ÎÊýÐèÖª×ã±ê×¼ÒªÇ󣬣¬ £¬£¬£¬±»²â×°±¸Ó븨Öú×°±¸Ó¦µ±¼á³ÖÊʵ±¼ä¾àµÈ£¬£¬ £¬£¬£¬ÕýÊÇÖÖÖÖÖ÷¿Í¹Û²»È·¶¨ÒòËØµ¼Ö·øÉäɧÈŲâÊÔЧ¹û¾ßÓÐÕÉÁ¿²»È·¶¨¶È ¡£¡£¡£ ¡£¡£

Ò»¡¢ÕÉÁ¿²»È·¶¨¶ÈµÄ½ç˵

ÕÉÁ¿²»È·¶¨¶ÈÊÇÓëÕÉÁ¿Ð§¹ûÏàÁªÏµµÄ²ÎÊý£¬£¬ £¬£¬£¬ÊÇȨºâ±»ÕÉÁ¿ÖµÊèÉ¢ÐÔµÄÖ¸±ê ¡£¡£¡£ ¡£¡£

¶þ¡¢ÕÉÁ¿²»È·¶¨¶ÈµÄȪԴ

´ÓÓ°ÏìÕÉÁ¿Ð§¹ûµÄÒòËØË¼Á¿£¬£¬ £¬£¬£¬ÕÉÁ¿²»È·¶¨¶ÈȪԴÓÚ±»²â¹¤¾ß¡¢ÕÉÁ¿×°±¸¡¢ÕÉÁ¿ÇéÐΡ¢ÕÉÁ¿Ö°Ô±ºÍÕÉÁ¿ÒªÁì ¡£¡£¡£ ¡£¡£

£¨Ò»£©±»²â¹¤¾ß

±»²â¹¤¾ßÒòËØ°üÀ¨±»ÕÉÁ¿µÄ½ç˵²»ÍêÉÆ¡¢ÊµÏÖ±»ÕÉÁ¿½ç˵µÄÒªÁì²»ÍêÉÆ¡¢ÕÉÁ¿Ñù±¾²»¿ÉÍêÈ«´ú±í½ç˵µÄ±»ÕÉÁ¿¡¢±»ÕÉÁ¿²»ÎÈ¹Ì ¡£¡£¡£ ¡£¡£

£¨¶þ£©ÕÉÁ¿×°±¸

¼ÆÁ¿±ê×¼Æ÷¡¢ÕÉÁ¿ÒÇÆ÷ºÍ¸½¼þ¼°Æä״̬¾ù»áÒýÈëÎó²î ¡£¡£¡£ ¡£¡£¼ÆÁ¿±ê×¼Æ÷ºÍÕÉÁ¿ÒÇÆ÷У׼²»È·¶¨¶È£¬£¬ £¬£¬£¬»òÕÉÁ¿ÒÇÆ÷µÄ×î´óÔʲî»òÕÉÁ¿ÒÇÆ÷µÄ׼ȷ¶ÈÆ·¼¶¾ùÊÇÕÉÁ¿²»È·¶¨¶ÈÆÀ¶¨±ØÐè˼Á¿µÄÒòËØ ¡£¡£¡£ ¡£¡£

£¨Èý£©ÕÉÁ¿ÇéÐÎ

µ±ÇéÐÎÌõ¼þÔÚÒ»¶¨¹æÄ£ÄÚת±ä£¬£¬ £¬£¬£¬»òÔÚÇéÐÎÌõ¼þ²»ÍêÉÆµÄÇéÐÎϾÙÐÐÕÉÁ¿Ê±±¬·¢²»È·¶¨¶È ¡£¡£¡£ ¡£¡£´ËÀàÇéÐÎÌõ¼þÈ磺ζȡ¢Õñ¶¯ÔëÉù¡¢¹©Ó¦µçÔ´µÄת±ä¡¢¿ÕÆø×é³É¡¢¿ÕÆøÎÛȾ¡¢¿ÕÆøÁ÷¶¯¡¢ÈÈ·øÉä¡¢´óÆøÑ¹¡¢¿ÕÆøÁ÷¶¯µÈ ¡£¡£¡£ ¡£¡£

£¨ËÄ£©ÕÉÁ¿Ö°Ô±

ÕÉÁ¿Ö°Ô±ÒýÈëµÄ²»È·¶¨¶ÈȪԴ°üÀ¨Ö°Ô±¶ÁÊýÎó²î¡¢Ãé×¼Îó²î¡¢²Ù×÷Îó²îµÈ ¡£¡£¡£ ¡£¡£

£¨Î壩ÕÉÁ¿ÒªÁì

ÕÉÁ¿ÒªÁìÒýÈëµÄ²»È·¶¨¶ÈȪԴ°üÀ¨ÕÉÁ¿Ô­ÀíÎó²î¡¢Àú³ÌÎó²î¡¢Êý¾Ý´¦Öóͷ£·½·¨µÈ ¡£¡£¡£ ¡£¡£

Èý¡¢·øÉäɧÈŲ»È·¶¨¶ÈµÄÆÀ¹À

ÒÀ¾Ý±ê×¼GB9254.1-2021£¬£¬ £¬£¬£¬¶Ô±ê×¼ÐźÅÔ´¾ÙÐзøÉäɧÈżì²â ¡£¡£¡£ ¡£¡£ÒÀ¾Ý±ê×¼JJF1059.1-2012¡¢CNAS-GL07:2015¡¢CNAS-GL007:2020ºÍGB/T 6113.402-2018¶Ô·øÉäɧÈÅÕÉÁ¿²»È·¶¨¶È¾ÙÐÐÆÀ¹À ¡£¡£¡£ ¡£¡£

£¨Ò»£©½¨ÉèÕÉÁ¿Ä£×Ó

·øÉäɧÈŲ»È·¶¨¶ÈµÄÆÀ¹À

£¨¶þ£©ÆÀ¶¨AÀ಻ȷ¶¨¶È

¶ÔһϵÁÐÊÓ²ìÖµ¾ÙÐÐͳ¼ÆÆÊÎöºóÅÌËã±ê×¼²»È·¶¨¶ÈµÄÒªÁì³ÆÎªAÀ಻ȷ¶¨¶ÈÆÀ¶¨£¬£¬ £¬£¬£¬AÀ಻ȷ¶¨¶ÈÓñ´Èû¶û¹«Ê½ÅÌËã³öµÄʵÑé±ê×¼Îó²îÀ´ÌåÏÖ ¡£¡£¡£ ¡£¡£·øÉäɧÈŲâÊÔ´ÓÅÌËãЧÂʺÍ׼ȷÐÔÉÏ˼Á¿£¬£¬ £¬£¬£¬Ñ¡È¡×¼·åÖµ¼ì²¨¡¢Ë®Æ½¼«»¯Æ«Ïò£¬£¬ £¬£¬£¬ÒÔ¼°50MHzºÍ500MHzÁ½¸öƵÂʵÄɧÈÅÖµÀ´ÆÀ¹ÀÆäÕÉÁ¿ÏµÍ³µÄÀëÉ¢ÐÔ ¡£¡£¡£ ¡£¡£µ±ÆµÂÊΪ50MHz£¬£¬ £¬£¬£¬ÇóµÃƽ¾ùÖµ= 50.13 dB¦ÌV ¡£¡£¡£ ¡£¡£µ±ÆµÂÊΪ500MHz£¬£¬ £¬£¬£¬ÇóµÃƽ¾ùÖµ=65.58 dB¦ÌV ¡£¡£¡£ ¡£¡£¾­±´Èû¶û¹«Ê½ÅÌË㣬£¬ £¬£¬£¬»ñµÃʵÑéÊÒ·øÉäɧÈŵÄAÀà±ê×¼²»È·¶¨¶ÈΪ£ºu(x)=0.15dB ¡£¡£¡£ ¡£¡£

£¨Èý£©ÆÀ¶¨BÀ಻ȷ¶¨¶È

BÀ಻ȷ¶¨¶ÈÖ÷ҪȪԴÓÚÒÔǰµÄÕÉÁ¿Êý¾Ý£»£»£»£»£»£»£»¶ÔÓйØÖÊÁϼ°ÒÇÆ÷µÄÌØµã¡¢ÐÔÄܵÄÂÄÀú»òÒ»Ñùƽ³£ÖªÊ¶£»£»£»£»£»£»£»Éú²ú²¿·ÖÌṩµÄÖÆÔì˵Ã÷Êé»òÊÖÒÕÎļþ£»£»£»£»£»£»£»¼ì¶¨Ö¤Ê顢У׼֤ÊéÌṩµÄÊý¾Ý£¬£¬ £¬£¬£¬°üÀ¨ÏÖÔÚÔÝÔÚʹÓõļ«ÏÞÎó²î£»£»£»£»£»£»£»È¡×ÔÊÖ²áµÄ¸¶Óë²Î¿¼Êý¾ÝµÄ²»È·¶¨¶ÈµÈ ¡£¡£¡£ ¡£¡£

ƾ֤ʵÑéÊÒÏÖÕæÏàÐΣ¬£¬ £¬£¬£¬½ÓÄÉÒÔϲÎÊýÅÌËãBÀ಻ȷ¶¨¶È ¡£¡£¡£ ¡£¡£

±í1£ºBÀ಻ȷ¶¨¶ÈµÄÅÌËã

BÀ಻ȷ¶¨¶ÈµÄÅÌËã

ƾ֤BÀ಻ȷ¶¨¶ÈÅÌË㹫ʽ£¬£¬ £¬£¬£¬BÀ಻ȷ¶¨¶ÈΪ1.91dB ¡£¡£¡£ ¡£¡£

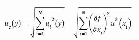
£¨ËÄ£©ºÏ³É²»È·¶¨¶ÈÓëÀ©Õ¹²»È·¶¨¶ÈµÄÅÌËã

É趨ËùÓÐÊäÈëÁ¿Ö®¼äÏ໥×ÔÁ¦£¬£¬ £¬£¬£¬ÔòºÏ³É±ê×¼²»È·¶¨¶ÈÓÉÏÂʽ»ñµÃ£º

·øÉäɧÈŲ»È·¶¨¶ÈµÄÆÀ¹À

¾­ÅÌË㣬£¬ £¬£¬£¬·øÉäɧÈźϳɲ»È·¶¨¶Èuc(y)= 2.06dB

ÔÚ¹¤Òµ¡¢ÉÌÒµ¡¢¹æ³ÌÓ¦Óü°ÎÀÉúºÍÇå¾²ÁìÓò£¬£¬ £¬£¬£¬Í¨³£ÐèÒª½«ºÏ³É±ê×¼²»È·¶¨¶È³ËÒÔÒ»¸öϵÊýk£¨°üÀ¨Òò×Ó£©£¬£¬ £¬£¬£¬µÃ³öÀ©Õ¹²»È·¶¨¶È ¡£¡£¡£ ¡£¡£¾­ÅÌË㣬£¬ £¬£¬£¬ÔÚÖÃÐŶÈΪ95%ʱ£¬£¬ £¬£¬£¬k=2ʱ£¬£¬ £¬£¬£¬À©Õ¹²»È·¶¨¶Èu=2ucy=2¡Á2.06=4.12dB£¬£¬ £¬£¬£¬¼´·øÉäɧÈŵÄÀ©Õ¹²»È·¶¨¶ÈΪ4.12dB ¡£¡£¡£ ¡£¡£

ËÄ¡¢¶ÔÏà¹ØÊÕÖ§¿ÚÆóÒµµÄ½¨Òé

·øÉäɧÈÅÊǵç´Å¼æÈݲâÊÔÖеÄÖ÷ÒªÏîÄ¿£¬£¬ £¬£¬£¬¸ÃÏîÄ¿µÄ¼°¸ñÓë·ñ¸úÆäËûÏîÄ¿µÄ²âÊÔÇéÐÎϢϢÏà¹Ø£¬£¬ £¬£¬£¬ÕÉÁ¿²»È·¶¨¶ÈÌåÏÖÁËÕÉÁ¿Ð§¹ûµÄÊèÉ¢ÐÔ£¬£¬ £¬£¬£¬¶Ôµç´Å¼æÈݲâÊÔ½áÂÛµÄ×îÖÕÅжϾßÓÐÖ÷ÒªÓ°Ïì ¡£¡£¡£ ¡£¡£Òò´Ë£¬£¬ £¬£¬£¬Ïà¹Ø²úÆ·ÊÕÖ§¿ÚÆóÒµÓ¦¶Ô·øÉäɧÈŲâÊÔ¼°²»È·¶¨¶ÈÆÊÎö¸øÓè×ã¹»µÄÖØÊÓ ¡£¡£¡£ ¡£¡£

½¨Òé»úµç²úÆ·µÄÏà¹ØÊÕÖ§¿ÚÆóÒµ³ä·ÖÏàʶµç´Å¼æÈݼì²â£¬£¬ £¬£¬£¬ÖØÊÓ·øÉäɧÈżì²âÏîÄ¿£¬£¬ £¬£¬£¬¶Ô¼ì²â±ê×¼¡¢¼ì²âÏîÄ¿ºÍÊг¡×¼ÈëÌõ¼þ¾ÙÐг¤Ð§¸ú×Ù£¬£¬ £¬£¬£¬ÔÚ²úÆ·ÖÊÁ¿ÉÏÔçϹ¦·ò ¡£¡£¡£ ¡£¡£Í¬Ê±£¬£¬ £¬£¬£¬ÊÕÖ§¿ÚÆóÒµÓ¦µ±¼à¿Ø¹ú¼Êº£ÄÚÊг¡·´ÏìºÍÕþ²ß±ê׼ת±ä£¬£¬ £¬£¬£¬ÊµÊ±µ÷½â²úÆ·ºÍÓ¦¶ÔÕ½ÂÔ£¬£¬ £¬£¬£¬²Å»ªÔÚ¹ú¼ÊÉÌÒµÖÐÕ¼ÓÐÓÐÀûλÖà ¡£¡£¡£ ¡£¡£

ÒÔÉÏÄÚÈÝȪԴÓÚÉîÛÚº£¹Ø¹¤ÒµÆ·¼ì²âÊÖÒÕÖÐÐÄ£¬£¬ £¬£¬£¬½ö¹©²Î¿¼ ¡£¡£¡£ ¡£¡£ÎÒ˾×÷Ϊ¹¤Òµ¹©Ó¦Á´µÄÎïÁ÷ÕûºÏЧÀÍÉÌ£¬£¬ £¬£¬£¬¿ÉÒÔ½«»õÎïÔË´ïÈ«Çò ¡£¡£¡£ ¡£¡£ÈçÄúÐèÒªÊÕÖ§¿Ú±¨¹Ø±¨¼ì¡¢¹ú¼ÊÎïÁ÷µÈЧÀÍ£¬£¬ £¬£¬£¬½Ó´ýÁªÏµÎÒ˾×Éѯ±¨¼Û£¬£¬ £¬£¬£¬×ÉѯÈÈÏß0510-66622538 ¡£¡£¡£ ¡£¡£

±êÇ©£º #»úµç³ö¿Ú
ÉÏһƪ£º¿óȪˮ³ö¿ÚÅ·ÃËÓÐÄÄЩҪÇó±ê×¼£¿£¿£¿£¿£¿
ÏÂһƪ£ºÈë¿Ú¸ÖÇÙÉ걨¹éÀàÒªÇóÓÐÄÄЩ£¿£¿£¿£¿£¿
½­ËÕ¿Ú´üÅ£µêAPP-ÖúÁ¦ÌåÓýÈüÊ·þÎñÊý×Ö»¯ ÈÃÈüÊÂÔËÓª¸ü¼òµ¥¹ú¼ÊÎïÁ÷¹É·ÝÓÐÏÞ¹«Ë¾ÊǺ£ÄÚÁìÏȵÄÒ»Ì廯×ÛºÏÎïÁ÷ЧÀÍÉÌ£¬£¬ £¬£¬£¬Ö÷Óª£º¹ú¼Ê»õÔËÊðÀí¡¢º£ÄÚÎïÁ÷¡¢¹©Ó¦Á´ÖÎÀí¡¢±£Ë°ÎïÁ÷µÈÓªÒµ ¡£¡£¡£ ¡£¡£

ÁôÑÔ°å

Ö´·¨ÉùÃ÷

±¾ÍøÕ¾ÓɿڴüÅ£µêAPP-ÖúÁ¦ÌåÓýÈüÊ·þÎñÊý×Ö»¯ ÈÃÈüÊÂÔËÓª¸ü¼òµ¥£¨ÒÔϼò³Æ¡°±¾¹«Ë¾¡±£©ÉèÁ¢£¬£¬ £¬£¬£¬×óÓÒÔÚʹÓñ¾ÍøÕ¾Ç°ÇëÎñ±Ø×ÐϸÔĶÁÒÔÏÂÌõÎÄ£¬£¬ £¬£¬£¬ÈôÓÐÒÉÎÊÇëºÍ±¾¹«Ë¾ÁªÏµ£¬£¬ £¬£¬£¬²»È»½«ÊÓΪÒѳä·ÖÖªÏþ²¢½ÓÊܱ¾ÉùÃ÷ËùÓÐÄÚÈÝ£º 

°æÈ¨ÉùÃ÷

±¾ÍøÕ¾µÄ°æÃæÉè¼Æ¡¢Êý¾Ý¡¢ÐÅÏ¢¡¢Í¼°¸¡¢ÉùÒô¡¢³ÌÐò¼°ÆäËüÏà¹ØÄÚÈݵÄËùÓÐȨ¡¢Öø×÷Ȩ¼°ÆäËüȨÁ¦Óɱ¾¹«Ë¾ÏíÓУ¬£¬ £¬£¬£¬´ËÖÖȨÁ¦Êܵ½¡¶ÖлªÈËÃñ¹²ºÍ¹úÃñ·¨µä¡·¡¢¡¶ÖлªÈËÃñ¹²ºÍ¹úÖø×÷Ȩ·¨¡·¼°ÆäËüÖ´·¨¡¢¹æÔò¡¢¹æ·¶ÐÔÖ´·¨Îļþ¼°Ïà¹Ø¹ú¼ÊÌõÔ¼µÄ±£»£»£»£»£»£»£»¤£¬£¬ £¬£¬£¬ÈκζÔÉÏÊöȨÁ¦µÄÇÖÕ¼¾ùÓпÉÄܵ¼Ö¼縺ÃñÊ¡¢ÐÐÕþ»òÐÌÊÂÔðÈÎ ¡£¡£¡£ ¡£¡£ÆäËûýÌå¡¢ÍøÕ¾»òСÎÒ˽¼Ò×ªÔØÊ¹ÓÃʱ²»µÃ¾ÙÐÐÉÌÒµÐÔµÄÔ­°æÔ­Ê½µÄ×ªÔØ£¬£¬ £¬£¬£¬Ò಻µÃÍáÇúºÍ¸Ä¶¯±¾ÍøÕ¾ËùÐû²¼µÄÄÚÈÝ ¡£¡£¡£ ¡£¡£Èç×ªÔØÐë×¢Ã÷ÎÄÕÂȪԴ ¡£¡£¡£ ¡£¡£

Òþ˽ÉùÃ÷

×ðÖØÓû§Òþ˽ÊDZ¾ÍøÕ¾µÄÒ»Ïî»ùÀ´Ô´Ôò ¡£¡£¡£ ¡£¡£±¾ÍøÕ¾²»»á¹ûÕæÓû§ÉúÑÄÔÚÍøÕ¾ÉϵķǹûÕæÄÚÈÝ£¬£¬ £¬£¬£¬³ý·ÇÓÐÖ´·¨ÔÊÐí¡¢ÒªÇó»òÔÚÒÔÏÂÈýÖÖÇéÐα¬·¢Ê±£¬£¬ £¬£¬£¬±¾ÍøÕ¾ÒÔΪ͸¶ÕâЩÄÚÈÝÊÇÐëÒªµÄ£º×ñ´Ó±¾ÍøÕ¾Õýµ±Ð§ÀͳÌÐò£»£»£»£»£»£»£»Ö´ÂÉÀýÔò»®¶¨ÐëҪʱ±ØÐèΪµÚÈý·½ÌṩµÄ£»£»£»£»£»£»£»ÔÚ½ôÆÈÇéÐÎÏ£¬£¬ £¬£¬£¬Îª±£»£»£»£»£»£»£»¤ÍøÕ¾ºÍÈ«ÌåÓû§ÀûÒæºÍ¹«ÖÚÇå¾² ¡£¡£¡£ ¡£¡£

ÃâÔðÉùÃ÷

±¾ÍøÕ¾ÉèÁ¢Ä¿µÄÔÚÓÚÏÈÈݱ¾¹«Ë¾ÓªÒµ¼°Àû±ãÓû§ÅÌÎÊ»ò×Éѯ ¡£¡£¡£ ¡£¡£

±¾¹«Ë¾²î³Ø±¾ÍøÕ¾ÄÚ¹ØÓÚ±¾¹«Ë¾µÄÈκÎÊý¾ÝµÄ׼ȷÐÔºÍÍêÕûÐÔ×÷×÷ÉùÃ÷£¬£¬ £¬£¬£¬Ò಻»á¶Ô±¾ÍøÕ¾ËùÔØÊý¾ÝµÄ¸üеÄ׼ȷÐÔºÍÍêÕûÐÔÈÏÕæ ¡£¡£¡£ ¡£¡£

±¾ÍøÕ¾¿¯µÇµÄËùÓÐÄÚÈÝ£¬£¬ £¬£¬£¬°üÀ¨µ«²»ÏÞÓÚÐÂÎű¨µÀ¡¢ÆäËûµÚÈý·½ÎÄÕµȣ¬£¬ £¬£¬£¬ÊÇΪÁËÀû±ãÓû§Ïà֪Ȥ¹ØÐÅÏ¢£¬£¬ £¬£¬£¬ÓйظõÈÄÚÈÝËùÔØÊý¾ÝµÄ׼ȷÐÔ»òÍêÕûÐÔ,±¾¹«Ë¾¸Å²»×÷ÈκÎÉùÃ÷ ¡£¡£¡£ ¡£¡£

±¾ÍøÕ¾ËùÔØµÄËùÓÐÊý¾Ý½ö¹©²Î¿¼,¶ÔÓÉÓÚʹÓûòÒÀÀµ±¾ÍøÕ¾ËùÔØµÄÈκÎ×ÊÁÏ»òÓйر¾¹«Ë¾ÈκÎ×ÊÁϵÄÒÅ©¶øÖ±½Ó»ò¼ä½ÓÒýÖµÄÈκÎËðʧ±¾¹«Ë¾¸Å²»¸ºÈκÎÖ´·¨ÔðÈÎ ¡£¡£¡£ ¡£¡£

±¾ÍøÕ¾ÄÚËùÉèµÄÍøÕ¾Á´½ÓÊÇΪÓû§ÌṩÀû±ã£¬£¬ £¬£¬£¬¶Ô´ÓÁ´½ÓµÄÍøÕ¾ÊÕµ½µÄÍøÂç´«ËÍ»òÈÎºÎÆäËüÐÎʽµÄ´«Ê䣬£¬ £¬£¬£¬±¾ÍøÕ¾²»¼ç¸ºÈκÎÔðÈÎ ¡£¡£¡£ ¡£¡£ 

±¾ÍøÕ¾Èç×ªÔØÆäËüýÌå×÷Æ·µÄÄ¿µÄÔÚÓÚת´ï¸ü¶àÐÅÏ¢£¬£¬ £¬£¬£¬²¢²»´ú±í±¾ÍøÕ¾ÔÞÐíÆä¿´·¨ºÍ¶ÔÆäÕæÊµÐÔÈÏÕæ£»£»£»£»£»£»£»ÆäËûýÌå¡¢ÍøÕ¾»òСÎÒ˽¼Ò×ªÔØÊ¹ÓÃʱ±ØÐè±£´æ±¾Õ¾×¢Ã÷µÄÎÄÕÂȪԴ£¬£¬ £¬£¬£¬²¢×Ô×ðÖ´·¨ÔðÈÎ ¡£¡£¡£ ¡£¡£

ÓÉÓÚ±¾ÍøÕ¾¶øÒýÆðµÄÒ»ÇÐËßËÏ»òÕùÒé¾ùӦʹÓÃÖлªÈËÃñ¹²ºÍ¹úÖ´·¨ ¡£¡£¡£ ¡£¡£±¾ÍøÕ¾±£´æËæÊ±¸üÕý¡¢Ð޸ĸüб¾ÉùÃ÷µÄȨÁ¦ ¡£¡£¡£ ¡£¡£


¿Ú´üÅ£µêAPP-ÖúÁ¦ÌåÓýÈüÊ·þÎñÊý×Ö»¯ ÈÃÈüÊÂÔËÓª¸ü¼òµ¥¹ÙÍøÒþ˽Õþ²ß


  • ¸üÐÂÈÕÆÚ£º2021-11-3
  • ÉúЧÈÕÆÚ£º2021-11-3
  • ±¾Òþ˽Õþ²ß½«×ÊÖúÄúÏàʶ£º

£¨1£©ÎªÁ˰ü¹Ü²úÆ·µÄÕý³£ÔËÐУ¬£¬ £¬£¬£¬ÊµÏֵǼ¡¢ËÑË÷µÈ½¹µã¹¦Ð§ÒÔ¼°ÆäËû¹¦Ð§£¬£¬ £¬£¬£¬ÎÒÃÇ»áÍøÂçÄúµÄ²¿·ÖÐëÒªÐÅÏ¢£»£»£»£»£»£»£»

£¨2£©ÔÚÄú¾ÙÐеǼ¡¢Ïµ¥»òʹÓûùÓÚµØÀíλÖõÄЧÀÍʱ£¬£¬ £¬£¬£¬»ùÓÚÖ´·¨ÒªÇó»òʵÏÖ¹¦Ð§Ëù±ØÐ裬£¬ £¬£¬£¬ÎÒÃÇ¿ÉÄÜ»áÍøÂçÐÕÃû¡¢ÁªÂç·½·¨¡¢Í¨Ñ¶Â¼¡¢µØÀíλÖõÈСÎÒ˽¼ÒÃô¸ÐÐÅÏ¢ ¡£¡£¡£ ¡£¡£ÄúÓÐȨ¾Ü¾øÏòÎÒÃÇÌṩÕâЩÐÅÏ¢£¬£¬ £¬£¬£¬»òÕß³·»ØÄú¶ÔÕâЩÐÅÏ¢µÄÊÚȨÔÞ³É ¡£¡£¡£ ¡£¡£ÇëÄúÏàʶ£¬£¬ £¬£¬£¬¾Ü¾ø»ò³·»ØÊÚȨÔ޳ɣ¬£¬ £¬£¬£¬½«µ¼ÖÂÄúÎÞ·¨Ê¹ÓÃÏà¹ØµÄÌØ¶¨¹¦Ð§£»£»£»£»£»£»£»

£¨3£©ÎÒÃǻὫÔÚ¾³ÄÚÔËÓªÀú³ÌÖÐÍøÂçºÍ±¬·¢µÄÄúµÄСÎÒ˽¼ÒÐÅÏ¢´æ´¢ÓÚÖлªÈËÃñ¹²ºÍ¹ú¾³ÄÚ£¬£¬ £¬£¬£¬²¢²»»á½«ÉÏÊöÐÅÏ¢´«ÊäÖÁ¾³Íâ ¡£¡£¡£ ¡£¡£ÎÒÃǽö»áÔÚΪÌṩ¡°¿Ú´üÅ£µêAPP-ÖúÁ¦ÌåÓýÈüÊ·þÎñÊý×Ö»¯ ÈÃÈüÊÂÔËÓª¸ü¼òµ¥¹ÙÍø¡±¼°Ð§ÀÍ֮ĿµÄËù±ØÐèµÄʱ´úÄÚ±£´æÄúµÄСÎÒ˽¼ÒÐÅÏ¢£»£»£»£»£»£»£»

£¨4£©ÎÒÃDz»»áÏòµÚÈý·½¹²Ïí¡¢Ìṩ¡¢×ªÈûòÕß´ÓµÚÈý·½»ñÈ¡ÄúµÄСÎÒ˽¼ÒÐÅÏ¢£¬£¬ £¬£¬£¬³ý·Ç¾­ÓÉÄúµÄÔ޳ɣ»£»£»£»£»£»£»

£¨5£©ÎÒÃǽ«Æð¾¢½ÓÄɺÏÀíµÄÇå¾²²½·¥À´±£»£»£»£»£»£»£»¤ÄúµÄСÎÒ˽¼ÒÐÅÏ¢ ¡£¡£¡£ ¡£¡£ÌØÊâÖ¸³ö£¬£¬ £¬£¬£¬ÎÒÃǽ«½ÓÄÉÐÐÒµÄÚͨÐеķ½·¨¼°¾¡×î´óµÄÉÌÒµÆð¾¢À´±£»£»£»£»£»£»£»¤ÄúСÎÒ˽¼ÒÃô¸ÐÐÅÏ¢µÄÇå¾²£»£»£»£»£»£»£»

¿Ú´üÅ£µêAPP-ÖúÁ¦ÌåÓýÈüÊ·þÎñÊý×Ö»¯ ÈÃÈüÊÂÔËÓª¸ü¼òµ¥£¨ÒÔϼò³Æ¡°ÎÒÃÇ¡±£©Éî֪СÎÒ˽¼ÒÐÅÏ¢¶ÔÄúµÄÖ÷ÒªÐÔ£¬£¬ £¬£¬£¬ÎÒÃǽ«Æ¾Ö¤Ö´ÂÉÀýÔòµÄ»®¶¨£¬£¬ £¬£¬£¬½ÓÄÉÇå¾²µÄ±£»£»£»£»£»£»£»¤²½·¥£¬£¬ £¬£¬£¬±£»£»£»£»£»£»£»¤ÄúµÄСÎÒ˽¼ÒÐÅÏ¢¼°Òþ˽Çå¾² ¡£¡£¡£ ¡£¡£Òò´Ë£¬£¬ £¬£¬£¬ÎÒÃÇÖÆ¶©±¾¡°Òþ˽Õþ²ß¡±²¢ÌØÊâÌáÐÑ£ºÏ£ÍûÄúÔÚʹÓá°¿Ú´üÅ£µêAPP-ÖúÁ¦ÌåÓýÈüÊ·þÎñÊý×Ö»¯ ÈÃÈüÊÂÔËÓª¸ü¼òµ¥¹ÙÍø¡±¼°Ïà¹ØÐ§ÀÍǰ×ÐϸÔĶÁ²¢Ã÷È·±¾Òþ˽Õþ²ß£¬£¬ £¬£¬£¬Äú¿ÉÒÔÆ¾Ö¤Ö¸Òý×÷³öÄúµÄÊÊÖÐÑ¡Ôñ ¡£¡£¡£ ¡£¡£

±¾Òþ˽Õþ²ß½«×ÊÖúÄúÏàʶÒÔÏÂÄÚÈÝ£º

Ò»¡¢ÎÒÃÇÔõÑùÍøÂçºÍʹÓÃСÎÒ˽¼ÒÐÅÏ¢

¶þ¡¢ÎÒÃÇ¶Ô Cookie ºÍͬÀàÊÖÒÕµÄʹÓÃ

Èý¡¢ÎÒÃÇÔõÑù´æ´¢Ð¡ÎÒ˽¼ÒÐÅÏ¢

ËÄ¡¢ÎÒÃÇÔõÑù¹²Ïí¡¢×ªÈᢹûÕæÅû¶СÎÒ˽¼ÒÐÅÏ¢

Îå¡¢ÄúµÄȨÁ¦

Áù¡¢ÎÒÃÇÈçÄÇÀïÖöùͯµÄСÎÒ˽¼ÒÐÅÏ¢

Æß¡¢ÄúµÄСÎÒ˽¼ÒÐÅÏ¢ÔõÑùÔÚÈ«Çò¹æÄ£×ªÒÆ

°Ë¡¢±¾Òþ˽Õþ²ßÔõÑù¸üÐÂ

¾Å¡¢ÔõÑùÁªÏµ¿Ú´üÅ£µêAPP-ÖúÁ¦ÌåÓýÈüÊÂЧÀÍÊý×Ö»¯ ÈÃÈüÊÂÔËÓª¸ü¼òÆÓ

Ò»¡¢ÎÒÃÇÔõÑùÍøÂçºÍʹÓÃСÎÒ˽¼ÒÐÅÏ¢

ÔÚÄúʹÓá°¿Ú´üÅ£µêAPP-ÖúÁ¦ÌåÓýÈüÊ·þÎñÊý×Ö»¯ ÈÃÈüÊÂÔËÓª¸ü¼òµ¥¹ÙÍø¡±¼°Ð§À͵ÄÀú³ÌÖУ¬£¬ £¬£¬£¬ÎÒÃǽ«Æ¾Ö¤Õýµ±¡¢Õýµ±¡¢ÐëÒªµÄÔ­Ôò£¬£¬ £¬£¬£¬ÍøÂçÐÅÏ¢ ¡£¡£¡£ ¡£¡£ÎÒÃÇÍøÂç»òÇëÄúÌṩµÄÐÅÏ¢½«ÓÃÓÚ£º

1.°ü¹Ü²úÆ·µÄÕý³£»£»£»£»£»£»£»ù´¡ÔËÐУ»£»£»£»£»£»£»2.ʵÏÖ¸÷ÏЧºÍЧÀÍ£»£»£»£»£»£»£»3.ÓÅ»¯¡¢¸ÄÉÆ²úÆ·ºÍЧÀÍ£»£»£»£»£»£»£»4.°ü¹Ü²úÆ·¡¢Ð§ÀÍÒÔ¼°Óû§Ê¹ÓÃÇå¾²£»£»£»£»£»£»£»5.×ñÕÕÖ´ÂÉÀýÔòÓë¹ú¼Ò±ê×¼µÄ»®¶¨ ¡£¡£¡£ ¡£¡£

£¨Ò»£©ÎÒÃÇ×Ô¶¯ÍøÂçÓëʹÓõÄСÎÒ˽¼ÒÐÅÏ¢

ÎÒÃÇ»áÆ¾Ö¤ÈçÏ·½·¨ÍøÂçÄúÔÚʹÓÃЧÀÍʱ×Ô¶¯ÌṩµÄ£¬£¬ £¬£¬£¬ÒÔ¼°ÄúÔÚʹÓù¦Ð§»ò½ÓÊÜ

ЧÀÍÀú³ÌÖб¬·¢µÄÐÅÏ¢£º

1.°ü¹Ü¡°¿Ú´üÅ£µêAPP-ÖúÁ¦ÌåÓýÈüÊ·þÎñÊý×Ö»¯ ÈÃÈüÊÂÔËÓª¸ü¼òµ¥¹ÙÍø¡±ºÍÏà¹ØÐ§À͵ÄÕý³£ÔËÐÐ

µ±ÄúʹÓá°¿Ú´üÅ£µêAPP-ÖúÁ¦ÌåÓýÈüÊ·þÎñÊý×Ö»¯ ÈÃÈüÊÂÔËÓª¸ü¼òµ¥¹ÙÍø¡±¼°Ïà¹ØÐ§ÀÍʱ£¬£¬ £¬£¬£¬ÎªÁ˰ü¹ÜÈí¼þÓëЧÀ͵ÄÕý³£ÔËÐУ¬£¬ £¬£¬£¬ÎÒÃÇ»á

ÍøÂçÄúµÄÓ²¼þÐͺš¢²Ù×÷ϵͳ°æ±¾ºÅ¡¢Èí¼þ°æ±¾ºÅ¡¢ÍøÂç½ÓÈë·½·¨¼°ÀàÐÍ¡¢

²Ù×÷ÈÕÖ¾µÈÐÅÏ¢ ¡£¡£¡£ ¡£¡£ÇëÄúÏàʶ£¬£¬ £¬£¬£¬ÕâЩÐÅÏ¢ÊÇÎÒÃÇÌṩЧÀͺͰü¹Ü²úÆ·Õý³£ÔËÐÐËù±Ø

ÐëÍøÂçµÄ»ù±¾ÐÅÏ¢ ¡£¡£¡£ ¡£¡£

2.µÇ¼¡°¿Ú´üÅ£µêAPP-ÖúÁ¦ÌåÓýÈüÊ·þÎñÊý×Ö»¯ ÈÃÈüÊÂÔËÓª¸ü¼òµ¥¹ÙÍø¡±¼°Ïà¹ØÐ§ÀÍ

£¨1£©µ±ÄúµÇ¼¡°¿Ú´üÅ£µêAPP-ÖúÁ¦ÌåÓýÈüÊ·þÎñÊý×Ö»¯ ÈÃÈüÊÂÔËÓª¸ü¼òµ¥¹ÙÍø¡±¼°Ïà¹ØÐ§ÀÍʱ£¬£¬ £¬£¬£¬Äú¿ÉÒÔͨ¹ýÊÖ»úºÅ½¨ÉèÕ˺ţ¬£¬ £¬£¬£¬Äú½«

ÎüÊÕµ½ÎÒÃÇ·¢Ë͵ĶÌÐÅÑéÖ¤Â룬£¬ £¬£¬£¬¿Ú´üÅ£µêAPP-ÖúÁ¦ÌåÓýÈüÊ·þÎñÊý×Ö»¯ ÈÃÈüÊÂÔËÓª¸ü¼òµ¥¹ÙÍø½«Í¨¹ý¸Ã¶ÌÐÅÑéÖ¤ÂëÀ´ÑéÖ¤ÄúµÄÉí·ÝÊÇ·ñÓÐÓà ¡£¡£¡£ ¡£¡£

£¨2£©ÎªÁËÌṩÄúʹÓá°¿Ú´üÅ£µêAPP-ÖúÁ¦ÌåÓýÈüÊ·þÎñÊý×Ö»¯ ÈÃÈüÊÂÔËÓª¸ü¼òµ¥¹ÙÍø¡±¼°Ïà¹ØÐ§À͵ÄÇå¾²ÐÔ£¬£¬ £¬£¬£¬È·±£²Ù×÷ÇéÐÎÇå¾²Óëʶ±ðÕ˺ÅÇ徲״̬£¬£¬ £¬£¬£¬¸üºÃµØ±£»£»£»£»£»£»£»¤Äú»òÕ߯äËûÓû§»ò¹«ÖÚµÄÈËÉí¹¤ÒµÇå¾²ÃâÔâË𺦣¬£¬ £¬£¬£¬Äú¿ÉÒÔÑ¡ÔñÏòÎÒÃÇÌṩÕÕÆ¬¡¢êdzơ¢ÐÕÃû¡¢Éí·ÝÖ¤»òÕ߯äËûÉí·Ý֤ʵ¡¢ÐÔ±ð¡¢ÄêËê¡¢ÐÐÒµ¡¢¹«Ë¾¡¢Ö°Òµ¡¢¸öÐÔÊðÃû ¡£¡£¡£ ¡£¡£ÎÒÃÇ¿ÉÄÜʹÓûòÕûºÏÄúËùÌṩµÄÉÏÊöÐÅÏ¢£¬£¬ £¬£¬£¬ÇÒ¾­ÄúÊÚȨºóÎÒÃÇ¿ÉÒÔÏòÆäËûµÚÈý·½»ñÈ¡ÄúµÄÕ÷ÐÅÐÅÏ¢¡¢Ö°ÒµÐÅÏ¢£¬£¬ £¬£¬£¬½è´ËÀ´×ÛºÏÅжÏÄúÕË»§¼°ÉúÒâΣº¦¡¢¾ÙÐÐÉí·ÝÑéÖ¤¡¢¼à²â¼°·¶·¶Çå¾²ÊÂÎñµÈ ¡£¡£¡£ ¡£¡£Äú¿ÉÒÔÔÚСÎÒ˽¼ÒÕË»§×ÊÁÏÖÐÑ¡ÔñÊÇ·ñÌîдÉÏÊöÐÅÏ¢£»£»£»£»£»£»£»ÈçÄúÌṩÉÏÊöÐÅÏ¢£¬£¬ £¬£¬£¬¿ÉÄÜ¿ÉÒÔÌáÉý¡°¿Ú´üÅ£µêAPP-ÖúÁ¦ÌåÓýÈüÊ·þÎñÊý×Ö»¯ ÈÃÈüÊÂÔËÓª¸ü¼òµ¥¹ÙÍø¡±ÐÅÏ¢ÁýÂçµÄÀÖ³ÉÂÊ£¬£¬ £¬£¬£¬ÈçÄú¾Ü¾øÌṩÉÏÊöÐÅÏ¢£¬£¬ £¬£¬£¬¿ÉÄܻήµÍÐÅÏ¢ÁýÂçµÄÀÖ³ÉÂÊ ¡£¡£¡£ ¡£¡£

3.ΪÄúÌṩËÑË÷ЧÀÍ

ÄúʹÓá°¿Ú´üÅ£µêAPP-ÖúÁ¦ÌåÓýÈüÊ·þÎñÊý×Ö»¯ ÈÃÈüÊÂÔËÓª¸ü¼òµ¥¹ÙÍø¡±µÄËÑË÷ЧÀÍʱ£¬£¬ £¬£¬£¬ÎÒÃÇ»áÍøÂçÄúµÄËÑË÷Òªº¦×ÖÐÅÏ¢¡¢ÈÕÖ¾¼Í¼µÈ ¡£¡£¡£ ¡£¡£ÎªÁËÌṩ¸ßЧµÄËÑË÷ЧÀÍ£¬£¬ £¬£¬£¬²¿·ÖǰÊöÐÅÏ¢»áÔÝʱ´æ´¢ÔÚÄúµÄÍâµØ´æ´¢×°±¸Ö®ÖУ¬£¬ £¬£¬£¬²¢¿ÉÏòÄúչʾËÑË÷Ч¹ûÄÚÈÝ¡¢ËÑË÷ÀúÊ·¼Í¼ ¡£¡£¡£ ¡£¡£

4.¿ªÕ¹ÓªÏúÔ˶¯

µ±ÄúÑ¡Ôñ¼ÓÈëÎÒÃǾÙÐеÄÓйØÓªÏúÔ˶¯Ê±£¬£¬ £¬£¬£¬Æ¾Ö¤Ô˶¯ÐèÒªÄú¿ÉÌṩÐÕÃû¡¢ÕÕÆ¬¡¢

Éí·ÝÖ¤ÐÅÏ¢¡¢Í¨Ñ¶µØµã¡¢ÁªÏµ·½·¨¡¢ÒøÐп¨ºÅµÈÐÅÏ¢ ¡£¡£¡£ ¡£¡£ÕâЩÐÅÏ¢¿ÉÒÔ×ÊÖúÎÒÃǶÔÔ˶¯Ð§¹û¾ÙÐй«Ê¾£¬£¬ £¬£¬£¬¶ÔÔ˶¯¾ÙÐкóÐøÐû´«£¬£¬ £¬£¬£¬ÓëÄúÈ¡µÃÁªÏµ£¨ÈçÄúµÄСÎÒ˽¼Òµç»°ºÅÂë»á±»ÓÃÓÚ·¢ËÍÔ¼ÇëÓû§¡¢·ÖÏí¶ÌÐŵÈÓªÏúÔ˶¯ÖУ©£¬£¬ £¬£¬£¬ÏòÄú·¢·ÅÀñÎï»òתÕË£¬£¬ £¬£¬£¬ÈôÊÇÄú¾Ü¾øÌṩÕâЩÐÅÏ¢£¬£¬ £¬£¬£¬¿ÉÄܵ¼ÖÂÎÞ·¨¼ÓÈëÏìÓ¦Ô˶¯£¬£¬ £¬£¬£¬»òÎÞ·¨ÊÕµ½ÀñÎתÕË ¡£¡£¡£ ¡£¡£

5.°ü¹Ü²úÆ·¡¢Ð§Àͼ°Óû§Ê¹ÓÃÇå¾²

ΪÁË¿ªÕ¹Êý¾ÝÆÊÎöºÍ¸üºÃ¸ÄÉÆ¡°¿Ú´üÅ£µêAPP-ÖúÁ¦ÌåÓýÈüÊ·þÎñÊý×Ö»¯ ÈÃÈüÊÂÔËÓª¸ü¼òµ¥¹ÙÍø¡±µÄЧÀÍ£¬£¬ £¬£¬£¬ÎÒÃÇ»áÍøÂçÄúµÄÈÕÖ¾ÐÅÏ¢£¬£¬ £¬£¬£¬°üÀ¨¼ìË÷ÄÚÈÝ¡¢IPµØµã¡¢×°±¸ÐÅÏ¢£¨°üÀ¨×°±¸Ðͺš¢×°±¸Ê¶±ðÂë¡¢²Ù×÷ϵͳ¡¢ÏµÍ³ÓïÑÔ¡¢Çø·ÖÂÊ¡¢µçÐÅÔËÓªÉÌ¡¢SIM¹éÊôµØ£©£¬£¬ £¬£¬£¬ÒÔ¼°Ê¹ÓÃÈí¼þ¼°Ïà¹ØÐ§ÀÍµÄÆµÂÊ¡¢Íß½âÊý¾Ý¡¢×ÜÌå×°Öá¢Ê¹ÓÃÇéÐΡ¢ÐÔÄÜÊý¾ÝµÈÐÅÏ¢£¬£¬ £¬£¬£¬×ö³öÌØÕ÷Ä£×Ó²¢¾ÙÐÐÓû§»­Ïñ£¬£¬ £¬£¬£¬ÒÔΪÄúÌṩԽ·¢¸öÐÔ»¯¡¢±ã½ÝµÄЧÀÍ ¡£¡£¡£ ¡£¡£ÎÒÃÇ»áʹÓÃä¯ÀÀÆ÷ÍøÂç´æ´¢»úÖÆºÍÓ¦ÓóÌÐòÊý¾Ý»º´æ£¬£¬ £¬£¬£¬ÔÚÄúµÄ×°±¸ÉÏÍøÂçÐÅÏ¢²¢¾ÙÐÐÍâµØ´æ´¢ ¡£¡£¡£ ¡£¡£

£¨¶þ£©ÍøÂ硢ʹÓÃСÎÒ˽¼ÒÐÅϢĿµÄ±ä»»µÄ´¦Öóͷ£

ÇëÄúÏàʶ£¬£¬ £¬£¬£¬Ëæ×ÅÎÒÃÇÓªÒµµÄÉú³¤£¬£¬ £¬£¬£¬¿ÉÄÜ»á¶Ô¡°¿Ú´üÅ£µêAPP-ÖúÁ¦ÌåÓýÈüÊ·þÎñÊý×Ö»¯ ÈÃÈüÊÂÔËÓª¸ü¼òµ¥¹ÙÍø¡±µÄ¹¦Ð§ºÍÌṩµÄЧÀÍÓÐËùµ÷½âת±ä ¡£¡£¡£ ¡£¡£Ô­ÔòÉÏ£¬£¬ £¬£¬£¬µ±Ð¹¦Ð§»òЧÀÍÓëµÇ¼¡¢Ïµ¥¡¢ËÑË÷¡¢³äÖµµÈ³¡¾°Ïà

¹ØÊ±£¬£¬ £¬£¬£¬ÍøÂçÓëʹÓõÄСÎÒ˽¼ÒÐÅÏ¢½«ÓëÔ­´¦Öóͷ£Ä¿µÄ¾ßÓÐÖ±½Ó»òºÏÀí¹ØÁª ¡£¡£¡£ ¡£¡£ÔÚÓëÔ­´¦Öóͷ£Ä¿µÄÎÞÖ±½Ó»òºÏÀí¹ØÁªµÄ³¡¾°Ï£¬£¬ £¬£¬£¬ÎÒÃÇÍøÂ硢ʹÓÃÄúµÄСÎÒ˽¼ÒÐÅÏ¢£¬£¬ £¬£¬£¬»áͨ¹ýÒ³ÃæÌáÐÑ¡¢½»»¥Á÷³Ì¡¢ÍøÕ¾Í¨¸æ¡¢ÁíÐÐÇ©ÊðЭÒéµÈ·½·¨ÁíÐÐÏòÄú˵Ã÷ÐÅÏ¢ÍøÂçµÄÄÚÈÝ¡¢¹æÄ£ºÍÄ¿µÄ£¬£¬ £¬£¬£¬ÒÔÕ÷µÃÄúµÄÔÞ³É ¡£¡£¡£ ¡£¡£

£¨Èý£©ÒÀ·¨¿íÃâÕ÷µÃÔÞ³ÉÍøÂçºÍʹÓõÄСÎÒ˽¼ÒÐÅÏ¢

ÇëÄúÃ÷È·£¬£¬ £¬£¬£¬Æ¾Ö¤Ïà¹ØÖ´ÂÉÀýÔò¼°¹ú¼Ò±ê×¼£¬£¬ £¬£¬£¬ÒÔÏÂÇéÐÎÖУ¬£¬ £¬£¬£¬ÎÒÃÇ¿ÉÄܻṲÏí¡¢×ªÈᢹûÕæÅû¶СÎÒ˽¼ÒÐÅÏ¢ÎÞÐèÊÂÏÈÕ÷µÃСÎÒ˽¼ÒÐÅÏ¢Ö÷ÌåµÄÊÚȨÔ޳ɣº

£¨1£©Óë¹ú¼ÒÇå¾²¡¢¹ú·ÀÇå¾²Ö±½ÓÏà¹ØµÄ£»£»£»£»£»£»£»

£¨2£©Ó빫¹²Çå¾²¡¢¹«¹²ÎÀÉú¡¢ÖØÖÁ¹«¹²ÀûÒæÖ±½ÓÏà¹ØµÄ£»£»£»£»£»£»£»

£¨3£©Óë·¸·¨Õì²é¡¢ÆðËß¡¢ÉóѶºÍѶ¶ÏÖ´ÐеÈÖ±½ÓÏà¹ØµÄ£»£»£»£»£»£»£»

£¨4£©³öÓÚά»¤Ð¡ÎÒ˽¼ÒÐÅÏ¢Ö÷Ìå»òÆäËûСÎÒ˽¼ÒµÄÉúÃü¡¢¹¤ÒµµÈÖØ´óÕýµ±È¨Ò浫ÓÖºÜÄÑ»ñµÃ×Ô¼ºÔ޳ɵÄ£»£»£»£»£»£»£»

£¨5£©ËùÍøÂçµÄÄúµÄСÎÒ˽¼ÒÐÅÏ¢ÊÇÄú×ÔÐÐÏòÉç»á¹«ÖÚ¹ûÕæµÄ£»£»£»£»£»£»£»

£¨6£©´ÓÕýµ±¹ûÕæÅû¶µÄÐÅÏ¢ÖÐÍøÂçµÄÄúµÄСÎÒ˽¼ÒÐÅÏ¢µÄ£¬£¬ £¬£¬£¬ÈçÕýµ±µÄÐÂÎű¨µÀ¡¢Õþ¸®ÐÅÏ¢¹ûÕæµÈÇþµÀ£»£»£»£»£»£»£»

£¨7£©Æ¾Ö¤ÄúµÄÒªÇóÇ©Êð»òÍÆÐÐÌõÔ¼Ëù±ØÐèµÄ£»£»£»£»£»£»£»

£¨8£©ÓÃÓÚά»¤¡°¿Ú´üÅ£µêAPP-ÖúÁ¦ÌåÓýÈüÊ·þÎñÊý×Ö»¯ ÈÃÈüÊÂÔËÓª¸ü¼òµ¥¹ÙÍø¡±Èí¼þ¼°Ïà¹ØÐ§À͵ÄÇå¾²ÎȹÌÔËÐÐËù±ØÐèµÄ£¬£¬ £¬£¬£¬ÀýÈç·¢Ã÷¡¢´¦Öóͷ£¡°¿Ú´üÅ£µêAPP-ÖúÁ¦ÌåÓýÈüÊ·þÎñÊý×Ö»¯ ÈÃÈüÊÂÔËÓª¸ü¼òµ¥¹ÙÍø¡±Èí¼þ¼°Ïà¹ØÐ§À͵ĹÊÕÏ£»£»£»£»£»£»£»

£¨9£©ÎªÕýµ±µÄÐÂÎű¨µÀËù±ØÐèµÄ£»£»£»£»£»£»£»

£¨10£©Ñ§ÊõÑо¿»ú¹¹»ùÓÚ¹«¹²ÀûÒæ¿ªÕ¹Í³¼Æ»òѧÊõÑо¿ËùÐëÒª£¬£¬ £¬£¬£¬ÇÒ¶ÔÍâÌṩѧÊõÑо¿»òÐÎòµÄЧ¹ûʱ£¬£¬ £¬£¬£¬¶ÔЧ¹ûÖÐËù°üÀ¨µÄСÎÒ˽¼ÒÐÅÏ¢¾ÙÐÐÈ¥±êʶ»¯´¦Öóͷ£µÄ£»£»£»£»£»£»£»

£¨11£©ÓëÎÒÃÇÍÆÐÐÖ´ÂÉÀýÔò»®¶¨µÄÒåÎñÏà¹ØµÄ £»£»£»£»£»£»£»

£¨12£©Ö´ÂÉÀýÔò»®¶¨µÄÆäËûÇéÐÎ ¡£¡£¡£ ¡£¡£

ÌØÊâÌáÐÑÄú×¢ÖØ£¬£¬ £¬£¬£¬ÈçÐÅÏ¢ÎÞ·¨µ¥¶À»òÍŽáÆäËûÐÅϢʶ±ðµ½ÄúµÄСÎÒ˽¼ÒÉí·Ý£¬£¬ £¬£¬£¬Æä²»ÊôÓÚÖ´·¨ÒâÒåÉÏÄúµÄСÎÒ˽¼ÒÐÅÏ¢£»£»£»£»£»£»£»µ±ÄúµÄÐÅÏ¢¿ÉÒÔµ¥¶À»òÍŽáÆäËûÐÅϢʶ±ðµ½ÄúµÄСÎÒ˽¼ÒÉí·Ýʱ»òÎÒÃǽ«ÎÞ·¨ÓëÈκÎÌØ¶¨Ð¡ÎÒ˽¼ÒÐÅÏ¢½¨ÉèÁªÏµµÄÊý¾ÝÓëÆäËûÄúµÄСÎÒ˽¼ÒÐÅϢ͎áʹÓÃʱ£¬£¬ £¬£¬£¬ÕâЩÐÅÏ¢ÔÚÍŽáʹÓÃʱ´ú£¬£¬ £¬£¬£¬½«×÷ΪÄúµÄСÎÒ˽¼ÒÐÅϢƾ֤±¾Òþ˽Õþ²ß´¦Öóͷ£Óë±£»£»£»£»£»£»£»¤ ¡£¡£¡£ ¡£¡£

¶þ¡¢¶Ô Cookie ºÍͬÀàÊÖÒÕµÄʹÓÃ

£¨Ò»£©Cookie ºÍͬÀàÊÖÒÕÊÇ»¥ÁªÍøÖеÄͨÓó£ÓÃÊÖÒÕ ¡£¡£¡£ ¡£¡£µ±ÄúʹÓá°¿Ú´üÅ£µêAPP-ÖúÁ¦ÌåÓýÈüÊ·þÎñÊý×Ö»¯ ÈÃÈüÊÂÔËÓª¸ü¼òµ¥¹ÙÍø¡±¼°Ïà¹ØÐ§ÀÍʱ£¬£¬ £¬£¬£¬ÎÒÃÇ¿ÉÄÜ»áʹÓÃÏà¹ØÊÖÒÕÏòÄúµÄ×°±¸·¢ËÍÒ»¸ö»ò¶à¸ö Cookie »òÄäÃû±êʶ·û£¬£¬ £¬£¬£¬ÒÔÍøÂçºÍ´æ´¢Äú»á¼û¡¢Ê¹Óñ¾²úƷʱµÄÐÅÏ¢£¬£¬ £¬£¬£¬½øÒ»²½ÏàʶÄúµÄÆ«ºÃ£¬£¬ £¬£¬£¬¾ÙÐÐ×Éѯ»òÊý¾ÝÆÊÎö£¬£¬ £¬£¬£¬¸ÄÉÆ²úƷЧÀͼ´Óû§ÌåÑ飬£¬ £¬£¬£¬»òʵʱ·¢Ã÷²¢Ìá·ÀÇ徲Σº¦£¬£¬ £¬£¬£¬ÎªÄúÌṩ¸üºÃµÄЧÀÍ ¡£¡£¡£ ¡£¡£ÎÒÃÇʹÓà Cookie ºÍͬÀàÊÖÒÕÖ÷ҪΪÁËʵÏÖÒÔϹ¦Ð§»òЧÀÍ£º

1.°ü¹Ü²úÆ·ÓëЧÀ͵ÄÇå¾²¡¢¸ßЧÔËת

ÎÒÃÇ¿ÉÄÜ»áÉèÖÃÈÏÖ¤Óë°ü¹ÜÇå¾²Ð﵀ cookie »òÄäÃû±êʶ·û£¬£¬ £¬£¬£¬Ê¹ÎÒÃÇÈ·ÈÏÄúÊÇ·ñÇå¾²µÇ¼ЧÀÍ£¬£¬ £¬£¬£¬»òÕßÊÇ·ñÓöµ½µÁÓá¢Ú²Æ­µÈ²»·¨ÐÐΪ ¡£¡£¡£ ¡£¡£ÕâЩÊÖÒÕ»¹»á×ÊÖúÎÒÃÇË¢ÐÂЧÀÍЧÂÊ£¬£¬ £¬£¬£¬ÌáÉýµÇ¼ºÍÏìÓ¦ËÙÂÊ ¡£¡£¡£ ¡£¡£

2.×ÊÖúÄú»ñµÃ¸üÇáËɵĻá¼ûÌåÑé

ʹÓôËÀàÊÖÒÕ¿ÉÒÔ×ÊÖúÄúÊ¡È¥ÖØ¸´ÄúÌîдСÎÒ˽¼ÒÐÅÏ¢¡¢ÊäÈëËÑË÷ÄÚÈݵİ취ºÍÁ÷³Ì£¨ÀýÈ磺¼Í¼ËÑË÷ÀúÊ·£© ¡£¡£¡£ ¡£¡£

£¨¶þ£©ÎÒÃÇÆ½Ì¨ÉÏ»¹¿ÉÄܰüÀ¨Ò»Ð©µç×ÓͼÏñ£¨ÒÔϼò³Æ\"µ¥ÏñËØGIFÎļþ\"»ò\"ÍøÂçBeacon\"£©£¬£¬ £¬£¬£¬Ê¹ÓÃÍøÂçBeacon¿ÉÒÔÅÌËãä¯ÀÀÍøÒ³µÄÓû§»ò»á¼ûijЩCookie,ÎÒÃÇ»áͨ¹ýÍøÂçBeaconÍøÂçÄúä¯ÀÀÍøÒ³Ô˶¯µÄÐÅÏ¢£¬£¬ £¬£¬£¬ÀýÈ磺InternetЭÒé(IP)µØµã£¬£¬ £¬£¬£¬ä¯ÀÀÆ÷ÀàÐÍ£¬£¬ £¬£¬£¬InternetЧÀÍÌṩÉÌ£¨ISP£©£¬£¬ £¬£¬£¬²Î¿¼/Í˳öÒ³Ãæ£¬£¬ £¬£¬£¬²Ù×÷ϵͳ£¬£¬ £¬£¬£¬ÈÕÆÚ/ʱ¼ä´Á£¬£¬ £¬£¬£¬ºÍµã»÷Êý¾ÝÁ÷µÈ ¡£¡£¡£ ¡£¡£

Èý¡¢ÎÒÃÇÔõÑù´æ´¢Ð¡ÎÒ˽¼ÒÐÅÏ¢

£¨Ò»£©ÐÅÏ¢´æ´¢µÄËùÔÚ

ÎÒÃÇ×ñÕÕÖ´ÂÉÀýÔòµÄ»®¶¨£¬£¬ £¬£¬£¬½«ÔÚ¾³ÄÚÔËÓªÀú³ÌÖÐÍøÂçºÍ±¬·¢µÄÄúµÄСÎÒ˽¼ÒÐÅÏ¢´æ´¢ÓÚÖлªÈËÃñ¹²ºÍ¹ú¾³ÄÚ ¡£¡£¡£ ¡£¡£ÏÖÔÚ£¬£¬ £¬£¬£¬ÎÒÃDz»»á½«ÉÏÊöÐÅÏ¢´«ÊäÖÁ¾³Í⣬£¬ £¬£¬£¬ÈôÊÇÎÒÃÇÏò¾³Íâ´«Ê䣬£¬ £¬£¬£¬ÎÒÃǽ«»á×ñÕÕÖ´ÂÉÀýÔòµÄ»®¶¨£¬£¬ £¬£¬£¬Õ÷ÇóÄúµÄ×ÔÖ÷Ñ¡ÔñÔÞ³É ¡£¡£¡£ ¡£¡£

£¨¶þ£©´æ´¢ÏÞÆÚ

ÎÒÃǽöÔÚΪÌṩ¡°¿Ú´üÅ£µêAPP-ÖúÁ¦ÌåÓýÈüÊ·þÎñÊý×Ö»¯ ÈÃÈüÊÂÔËÓª¸ü¼òµ¥¹ÙÍø¡±¼°Ð§ÀÍ֮ĿµÄËù±ØÐèµÄʱ´úÄÚ±£´æÄúµÄСÎÒ˽¼ÒÐÅÏ¢£¬£¬ £¬£¬£¬Áè¼ÝÐëÒªÏÞÆÚºó£¬£¬ £¬£¬£¬ÎÒÃǽ«¶ÔÄúµÄСÎÒ˽¼ÒÐÅÏ¢¾ÙÐÐɾ³ý»òÄäÃû»¯´¦Öóͷ££¬£¬ £¬£¬£¬µ«Ö´ÂÉÀýÔòÉÐÓл®¶¨µÄ³ýÍâ ¡£¡£¡£ ¡£¡£

ËÄ¡¢ÎÒÃÇÔõÑù¹²Ïí¡¢×ªÈᢹûÕæÅû¶СÎÒ˽¼ÒÐÅÏ¢

£¨Ò»£©³ýÒÔÏÂÇéÐÎÍ⣬£¬ £¬£¬£¬ÎÒÃDz»»áÏòÆäËûÈ˹²ÏíÄúµÄСÎÒ˽¼ÒÐÅÏ¢£º

1.ÔÚ»ñÈ¡Ã÷È·ÔÞ³ÉÇéÐÎÏµĹ²Ïí£º»ñµÃÄúµÄÃ÷È·Ô޳ɺ󣬣¬ £¬£¬£¬¡°¿Ú´üÅ£µêAPP-ÖúÁ¦ÌåÓýÈüÊ·þÎñÊý×Ö»¯ ÈÃÈüÊÂÔËÓª¸ü¼òµ¥¹ÙÍø¡±»áÏòÄúÖ¸¶¨µÄµÚÈý·½¹²ÏíÄúÊÚȨ¹æÄ£ÄÚµÄÐÅÏ¢ ¡£¡£¡£ ¡£¡£

2.ÔÚ·¨¶¨ÇéÐÎÏµĹ²Ïí£º¡°¿Ú´üÅ£µêAPP-ÖúÁ¦ÌåÓýÈüÊ·þÎñÊý×Ö»¯ ÈÃÈüÊÂÔËÓª¸ü¼òµ¥¹ÙÍø¡±¿ÉÄÜ»áÆ¾Ö¤Ö´ÂÉÀýÔòµÄ»®¶¨¡¢ËßËÏÕùÒé½â¾öµÄÐèÒª£¬£¬ £¬£¬£¬»òƾ֤ÐÐÕþ¡¢Ë¾·¨»ú¹ØÒÀ·¨Ìá³öµÄÒªÇ󣬣¬ £¬£¬£¬¶ÔÍâ¹²ÏíÄúµÄСÎÒ˽¼ÒÐÅÏ¢ ¡£¡£¡£ ¡£¡£

3.¹²Ïí¸ø¡°¿Ú´üÅ£µêAPP-ÖúÁ¦ÌåÓýÈüÊ·þÎñÊý×Ö»¯ ÈÃÈüÊÂÔËÓª¸ü¼òµ¥¹ÙÍø¡±µÄ¹ØÁª¹«Ë¾£ºÄúµÄÐÅÏ¢¿ÉÄÜ»áÔÚ¡°¿Ú´üÅ£µêAPP-ÖúÁ¦ÌåÓýÈüÊ·þÎñÊý×Ö»¯ ÈÃÈüÊÂÔËÓª¸ü¼òµ¥¹ÙÍø¡±µÄ¹ØÁª¹«Ë¾ÄÚ¹²Ïí ¡£¡£¡£ ¡£¡£ÀýÈ磬£¬ £¬£¬£¬¹ØÓÚʹÓÃͳһÌ×ÕË»§ÏµÍ³µÄÓªÒµ£¬£¬ £¬£¬£¬ÎÒÃÇ»áÔÚ¹ØÁª¹«Ë¾ÄÚ¹²ÏíÄúµÄÕË»§ÐÅÏ¢£¨ÕË»§¡¢ÃÜÂë¡¢êdzƼ°ÆäËûÓû§»ù´¡×ÊÁÏ£©£»£»£»£»£»£»£»³öÓÚά»¤Æ½Ì¨ÖÈÐò¡¢±£»£»£»£»£»£»£»¤Æ¾Ìõ»òÆäËûÓû§Õýµ±È¨Á¦µÄÐèÒª£¬£¬ £¬£¬£¬ÎÒÃÇ»áÔÚ¹ØÁª¹«Ë¾ÄÚ¹²ÏíÄúÎ¥·¨¡¢Î¥Ô¼¡¢Î¥·´Æ½Ì¨¹æÔòµÄÐÐΪ ¡£¡£¡£ ¡£¡£ÎÒÃÇÖ»»á¹²ÏíÐëÒªµÄСÎÒ˽¼ÒÐÅÏ¢£¬£¬ £¬£¬£¬ÇÒÊܱ¾Òþ˽Õþ²ßÖÐËùÉùÃ÷Ä¿µÄµÄÔ¼Êø£¬£¬ £¬£¬£¬ÈôÊÇÎÒÃǹ²ÏíÄúµÄСÎÒ˽¼ÒÃô¸ÐÐÅÏ¢»ò¹ØÁª¹«Ë¾¸Ä±äСÎÒ˽¼ÒÐÅÏ¢µÄʹÓü°´¦Öóͷ£Ä¿µÄ£¬£¬ £¬£¬£¬ÎÒÃÇ»áÔÙ´ÎÖ¤µÄÄúµÄÊÚȨÔÞ³É ¡£¡£¡£ ¡£¡£

4.¹²Ïí¸øÓªÒµÏàÖúͬ°é£º¡°¿Ú´üÅ£µêAPP-ÖúÁ¦ÌåÓýÈüÊ·þÎñÊý×Ö»¯ ÈÃÈüÊÂÔËÓª¸ü¼òµ¥¹ÙÍø¡±¿ÉÄÜ»áÏòÏàÖúͬ°éÆ·¼¶Èý·½¹²ÏíÄúµÄСÎÒ˽¼ÒÐÅÏ¢£¬£¬ £¬£¬£¬ÒÔ°ü¹ÜΪÄúÌṩµÄЧÀÍ˳ËìÍê³É ¡£¡£¡£ ¡£¡£µ«ÎÒÃǽö»á³öÓÚÕýµ±¡¢Õýµ±¡¢ÐëÒª¡¢Ìض¨¡¢Ã÷È·µÄÄ¿µÄ¹²ÏíÄúµÄСÎÒ˽¼ÒÐÅÏ¢£¬£¬ £¬£¬£¬²¢ÇÒÖ»»á¹²ÏíÌṩЧÀÍËùÐëÒªµÄСÎÒ˽¼ÒÐÅÏ¢ ¡£¡£¡£ ¡£¡£¿Ú´üÅ£µêAPP-ÖúÁ¦ÌåÓýÈüÊÂЧÀÍÊý×Ö»¯ ÈÃÈüÊÂÔËÓª¸ü¼òÆÓÏàÖúͬ°é°üÀ¨£º

£¨1£©Äúͨ¹ý¡°¿Ú´üÅ£µêAPP-ÖúÁ¦ÌåÓýÈüÊ·þÎñÊý×Ö»¯ ÈÃÈüÊÂÔËÓª¸ü¼òµ¥¹ÙÍø¡±Æ½Ì¨Ê¹ÓõÚÈý·½Ð§ÀÍʱ£¬£¬ £¬£¬£¬ÎÒÃÇ»áÆ¾Ö¤±¾Õþ²ßÁÐÃ÷µÄ¹²ÏíÄÚÈÝÓëÌṩЧÀ͵ĵÚÈý·½¹²ÏíÄúµÄСÎÒ˽¼ÒÐÅÏ¢ ¡£¡£¡£ ¡£¡£

£¨2£©¹ã¸æ¡¢ÆÊÎöЧÀÍÀàµÄÊÚȨÏàÖúͬ°é ¡£¡£¡£ ¡£¡£ÎÒÃÇ»áίÍÐÕâЩÏàÖúͬ°é´¦Öóͷ£Óë¹ã¸æÁýÕÖÃæºÍÓÐÓÃÐÔÏà¹ØµÄÐÅÏ¢£¬£¬ £¬£¬£¬µ«²»»áÌṩÄúµÄСÎÒ˽¼ÒÉí·ÝÐÅÏ¢£¬£¬ £¬£¬£¬»òÕßÎÒÃǽ«ÕâЩÐÅÏ¢¾ÙÐÐÄäÃû»¯´¦Öóͷ££¬£¬ £¬£¬£¬ÒÔ±ãËü²»»áʶ±ðÄúСÎÒ˽¼Ò ¡£¡£¡£ ¡£¡£ÕâÀàÏàÖúͬ°é¿ÉÄܽ«ÉÏÊöÐÅÏ¢ÓëËûÃǺͷ¢»õÇøµÄÆäËûÊý¾ÝÏàÍŽᣬ£¬ £¬£¬£¬ÒÔÖ´ÐÐÎÒÃÇίÍÐµÄ¹ã¸æÐ§ÀÍ»ò¾öÒ齨Òé ¡£¡£¡£ ¡£¡£

£¨3£©ÈôÊÇÄúͨ¹ý¡°¿Ú´üÅ£µêAPP-ÖúÁ¦ÌåÓýÈüÊ·þÎñÊý×Ö»¯ ÈÃÈüÊÂÔËÓª¸ü¼òµ¥¹ÙÍø¡±Æ½Ì¨¼ÓÈëµÚÈý·½¾ÙÐлòÕß¡°¿Ú´üÅ£µêAPP-ÖúÁ¦ÌåÓýÈüÊ·þÎñÊý×Ö»¯ ÈÃÈüÊÂÔËÓª¸ü¼òµ¥¹ÙÍø¡±ÓëµÚÈý·½ÍŽá¾ÙÐеÄÓªÏú¡¢ÍƹãÔ˶¯£¬£¬ £¬£¬£¬ÎÒÃÇÐèÒªÓëµÚÈý·½¹²ÏíÄúµÄÐÕÃû¡¢Éí·ÝÖ¤ºÅ¡¢ÊÖ»úºÅÂë¡¢ÊÕ»õµØµã¡¢ÒøÐп¨ºÅ»òÕ߯äËûÐëÒªµÄÐÅÏ¢£¬£¬ £¬£¬£¬ÒÔÀû±ãµÚÈý·½Í³¼ÆÔ˶¯¼ÓÈëÇéÐΡ¢»ñ½±ÇéÐΣ¬£¬ £¬£¬£¬ÎªÄú°ó¶¨Äú»ñÈ¡µÄÓÅ»Ýȯ¡¢·¢·ÅÈ¨Òæ¡¢ÓʼÄÄú»ñÈ¡µÄ½±Æ·µÈ ¡£¡£¡£ ¡£¡£

£¨4£©¹©Ó¦ÉÌ¡¢Ð§ÀÍÌṩÉÌ»òÆäËûÏàÖúͬ°é ¡£¡£¡£ ¡£¡£¡°¿Ú´üÅ£µêAPP-ÖúÁ¦ÌåÓýÈüÊ·þÎñÊý×Ö»¯ ÈÃÈüÊÂÔËÓª¸ü¼òµ¥¹ÙÍø¡±¿ÉÄܻὫÄúµÄСÎÒ˽¼ÒÐÅÏ¢¹²Ïí¸øÖ§³ÖÎÒÃǹ¦Ð§µÄµÚÈý·½£¬£¬ £¬£¬£¬°üÀ¨ÎªÎÒÃÇÌṩ»ù´¡ÉèÊ©ÊÖÒÕЧÀÍ¡¢ÊµÃûÑé֤ЧÀͼ°ÆäËû°´Éí·ÝÑé֤ЧÀÍ¡¢ÈËÁ³Ê¶±ðЧÀÍ¡¢Ö§¸¶Ð§ÀÍ¡¢Êý¾Ý´¦Öóͷ£Ð§À͵ĵÚÈý·½µÈ ¡£¡£¡£ ¡£¡£ÎÒÃǹ²ÏíÕâЩÐÅÏ¢µÄÄ¿µÄÊÇΪÁËʵÏÖ²úÆ·¼°Ð§À͵Ĺ¦Ð§£¬£¬ £¬£¬£¬ºÃ±ÈÎÒÃÇÐèÒª½«ÄúµÄÐÕÃûºÍÉí·ÝÖ¤ºÅ¹²Ïí¸øÊµÃûÑé֤ЧÀ͹©Ó¦ÉÌ£¬£¬ £¬£¬£¬ÒÔ¾ÙÐÐʵÃûÑéÖ¤£»£»£»£»£»£»£»»òÕßÎÒÃÇÐèÒªÓëÈËÁ³Ê¶±ð¹©Ó¦É̹²ÏíÄúµÄÃæ²¿Ê¶±ðÌØÕ÷¼°ÐÕÃû¡¢Éí·ÝÖ¤ºÅ£¬£¬ £¬£¬£¬ÒÔʶ±ðÄúÊÇ·ñ×Ô¼ºÊ¹ÓÃЧÀÍ£»£»£»£»£»£»£»»òÕßÎÒÃÇÐèÒª½«ÄúµÄ¶©µ¥ºÅºÍ¶©µ¥½ð¶îÓëµÚÈý·½Ö§¸¶»ú¹¹¹²ÏíÒÑʵÏÖÆäÈ·ÈÏÄúµÄÖ§¸¶Ö¸Áî²¢Íê³ÉÖ§¸¶µÈ ¡£¡£¡£ ¡£¡£

ÎÒÃÇ»áÓë¹²ÏíСÎÒ˽¼ÒÐÅÏ¢µÄ¹«Ë¾¡¢×éÖ¯ºÍСÎÒ˽¼ÒÇ©ÊðÑÏ¿áµÄ±£ÃÜЭÒ飬£¬ £¬£¬£¬ÒªÇóËûÃÇÑÏ¿áÆ¾Ö¤±¾Õþ²ßÉùÃ÷µÄÄ¿µÄʹÓÃСÎÒ˽¼ÒÐÅÏ¢¼°½ÓÄÉÏà¹ØµÄ±£ÃܺÍÇå¾²²½·¥À´´¦Öóͷ£Ð¡ÎÒ˽¼ÒÐÅÏ¢ ¡£¡£¡£ ¡£¡£

£¨5£©ÎªÎ¬»¤Óû§Õýµ±È¨Ò棬£¬ £¬£¬£¬ÔÚЭÖú´¦Öóͷ£ÓëÄúÓйصÄÉúÒâ¾À·×»òÕùÒéʱ£¬£¬ £¬£¬£¬ÎÒÃÇ¿ÉÄÜÏòÄúµÄÉúÒâÏà¶Ô·½»ò±£´æÀûº¦¹ØÏµµÄµÚÈý·½Ìṩ½â¾öÉúÒâ¾À·×»òÕùÒéËù±ØÐèµÄÐÅÏ¢ ¡£¡£¡£ ¡£¡£

£¨¶þ£©È籬·¢ÊÕ¹º¡¢Í̲¢¡¢ÖØ×éµÈ±ä»»£¬£¬ £¬£¬£¬ÎÒÃÇ»áÒªÇó±ä»»ºóµÄÖ÷ÌåÒÀÈ»×ñÊØ±¾Òþ˽Õþ²ßÔ¼¶¨£¬£¬ £¬£¬£¬ÍÆÐÐÔ­ÓÐÔðÈμ°ÒåÎñ ¡£¡£¡£ ¡£¡£Èç±ä»»ºóµÄÖ÷ÌåÐè±ä»»Ð¡ÎÒ˽¼ÒÐÅϢʹÓÃÄ¿µÄ£¬£¬ £¬£¬£¬ÎÒÃÇ»áÒªÇóÆäÊÂÏÈ»ñµÃÄúµÄÕÑʾÔÞ³É ¡£¡£¡£ ¡£¡£¶ÔÄÚ¶øÑÔ£¬£¬ £¬£¬£¬ÔÚ֮ǰµÄÊÕ¹º¡¢Í̲¢Ô˶¯ÖУ¬£¬ £¬£¬£¬¹ØÓÚ±»ÊÕ¹º¡¢±»Í̲¢¹¤¾ßÖÎÀíµÄÊý¾Ý (°üÀ¨Óû§Êý¾Ý)¾ù½ÓÄÉÓë¡°¿Ú´üÅ£µêAPP-ÖúÁ¦ÌåÓýÈüÊ·þÎñÊý×Ö»¯ ÈÃÈüÊÂÔËÓª¸ü¼òµ¥¹ÙÍø¡±×ÔÓÐÊý¾ÝÏàͬµÄ±ê×¼ºÍ ÒªÇó¾ÙÐд¦Öóͷ£ºÍ±£»£»£»£»£»£»£»¤ ¡£¡£¡£ ¡£¡£

£¨Èý£©ÎÒÃǽ«×ñÊØÏà¹ØÖ´ÂÉÀýÔò£¬£¬ £¬£¬£¬¶ÔÄúµÄСÎÒ˽¼ÒÐÅÏ¢ÓèÒÔ±£ÃÜ ¡£¡£¡£ ¡£¡£³ý·ÇÊÂÏÈ»ñµÃÄúµÄÃ÷È·Ô޳ɻòÊÚȨ£¬£¬ £¬£¬£¬»ò×ñÕÕÖ´·¨»®¶¨Ëù±ØÐèµÄ£¬£¬ £¬£¬£¬»òÊÇÈ¥±êʶ»¯/ÄäÃû»¯´¦Öóͷ£ºóµÄÐÅÏ¢£¬£¬ £¬£¬£¬ÎÒÃDz»»áÏòµÚÈý·½¹ûÕæÅû¶ÄúµÄСÎÒ˽¼ÒÐÅÏ¢ ¡£¡£¡£ ¡£¡££¨ËÄ£©ÁíÍ⣬£¬ £¬£¬£¬Æ¾Ö¤Ïà¹ØÖ´ÂÉÀýÔò¼°¹ú¼Ò±ê×¼£¬£¬ £¬£¬£¬ÒÔÏÂÇéÐÎÖУ¬£¬ £¬£¬£¬ÎÒÃÇ¿ÉÄܻṲÏí¡¢×ªÈᢹûÕæÅû¶СÎÒ˽¼ÒÐÅÏ¢ÎÞÐèÊÂÏÈÕ÷µÃСÎÒ˽¼ÒÐÅÏ¢Ö÷ÌåµÄÊÚȨÔ޳ɣº

£¨1£©Óë¹ú¼ÒÇå¾²¡¢¹ú·ÀÇå¾²Ö±½ÓÏà¹ØµÄ£»£»£»£»£»£»£»

£¨2£©Ó빫¹²Çå¾²¡¢¹«¹²ÎÀÉú¡¢ÖØÖÁ¹«¹²ÀûÒæÖ±½ÓÏà¹ØµÄ£»£»£»£»£»£»£»

£¨3£©Óë·¸·¨Õì–Ë¡¢ÆðËß¡¢ÉóѶºÍѶ¶ÏÖ´ÐеÈÖ±½ÓÏà¹ØµÄ£»£»£»£»£»£»£»

£¨4£©³öÓÚά»¤Ð¡ÎÒ˽¼ÒÐÅÏ¢Ö÷Ìå»òÆäËûСÎÒ˽¼ÒµÄÉúÃü¡¢¹¤ÒµµÈÖØ´óÕýµ±È¨Ò浫ÓÖºÜÄÑ»ñµÃ×Ô¼ºÔ޳ɵÄ£»£»£»£»£»£»£»

£¨5£©Ð¡ÎÒ˽¼ÒÐÅÏ¢Ö÷Ìå×ÔÐÐÏòÉç»á¹«ÖÚ¹ûÕæµÄСÎÒ˽¼ÒÐÅÏ¢£»£»£»£»£»£»£»

£¨6£©´ÓÕýµ±¹ûÕæÅû¶µÄÐÅÏ¢ÖÐÍøÂçСÎÒ˽¼ÒÐÅÏ¢µÄ£¬£¬ £¬£¬£¬ÈçÕýµ±µÄÐÂÎű¨µÀ¡¢Õþ¸®ÐÅÏ¢¹ûÕæµÈÇþµÀ£»£»£»£»£»£»£»

£¨7£©ÓëÎÒÃÇÍÆÐÐÖ´ÂÉÀýÔò»®¶¨µÄÒåÎñÏà¹ØµÄ ¡£¡£¡£ ¡£¡£

Îå¡¢ÄúµÄȨÁ¦

ƾ֤ÖйúÏà¹ØµÄÖ´·¨¡¢¹æÔò¡¢±ê×¼£¬£¬ £¬£¬£¬ÒÔ¼°ÆäËû¹ú¼Ò¡¢µØÇøµÄͨÐÐ×ö·¨£¬£¬ £¬£¬£¬ÎÒÃǰü¹ÜÄú¶Ô×Ô¼ºµÄСÎÒ˽¼ÒÐÅÏ¢ÐÐʹÒÔÏÂȨÁ¦£º

£¨Ò»£©»á¼ûÄúµÄСÎÒ˽¼ÒÐÅÏ¢

ÄúÓÐȨ»á¼ûÄúµÄСÎÒ˽¼ÒÐÅÏ¢£¬£¬ £¬£¬£¬Ö´ÂÉÀýÔò»®¶¨µÄÆÆÀýÇéÐγýÍâ ¡£¡£¡£ ¡£¡£ÈôÊÇÄúÏëÐÐʹÊý¾Ý»á¼ûȨ£¬£¬ £¬£¬£¬¿ÉÒÔͨ¹ýÒÔÏ·½·¨×ÔÐлá¼û£º

ÕË»§ÐÅÏ¢£ºÈôÊÇÄúÏ£Íû»á¼û»ò±à¼­ÄúµÄÕË»§ÖеÄСÎÒ˽¼Ò×ÊÁÏÐÅÏ¢¡¢¸ü¸ÄÄúµÄÃÜÂ룬£¬ £¬£¬£¬Äú¿ÉÒÔÔÚ¿Ú´üÅ£µêAPP-ÖúÁ¦ÌåÓýÈüÊ·þÎñÊý×Ö»¯ ÈÃÈüÊÂÔËÓª¸ü¼òµ¥¹ÙÍøµÄ¡°Ð¡ÎÒ˽¼ÒÖÐÐÄ¡±¡¢¡°¸ü¶àÉèÖá±ÖоÙÐÐÅÌÎÊ¡¢»á¼û¡¢¸üÕý ¡£¡£¡£ ¡£¡£

ÈôÊÇÄúÎÞ·¨Í¨¹ýÉÏÊöÁ´½Ó»á¼ûÕâЩСÎÒ˽¼ÒÐÅÏ¢£¬£¬ £¬£¬£¬Äú¿ÉÒÔËæÊ±Ê¹ÓÃÖµç¿Í·þµç»°ÎÒÃǽ«ÊµÊ±½â¾öÄúµÄÎÊÌâºÍÐèÇó ¡£¡£¡£ ¡£¡£

£¨¶þ£©¸üÕýÄúµÄСÎÒ˽¼ÒÐÅÏ¢

µ±Äú·¢Ã÷ÎÒÃÇ´¦Öóͷ£µÄ¹ØÓÚÄúµÄСÎÒ˽¼ÒÐÅÏ¢Óйýʧʱ£¬£¬ £¬£¬£¬ÄúÓÐȨҪÇóÎÒÃÇ×ö³ö¸üÕý ¡£¡£¡£ ¡£¡£Äú¿ÉÒÔͨ¹ýÖµç¿Í·þµç»°Ìá³ö¸üÕýÉêÇë ¡£¡£¡£ ¡£¡£

£¨Èý£©×¢ÏúÄúµÄÕË»§

ÈôÊÇÄú³öÓÚСÎÒ˽¼ÒÐèÇóҪעÏúÄúµÄ¡°¿Ú´üÅ£µêAPP-ÖúÁ¦ÌåÓýÈüÊ·þÎñÊý×Ö»¯ ÈÃÈüÊÂÔËÓª¸ü¼òµ¥¹ÙÍø¡±ÕË»§²¢²»ÔÙÐèÒª¡°¿Ú´üÅ£µêAPP-ÖúÁ¦ÌåÓýÈüÊ·þÎñÊý×Ö»¯ ÈÃÈüÊÂÔËÓª¸ü¼òµ¥¹ÙÍø¡±ÎªÄúÌṩЧÀÍ£¬£¬ £¬£¬£¬Äú¿ÉÒÔ½øÈë¿Í·þÖÐÐĽçÃæÓëÎÒÃÇÁªÏµ»òͨ¹ýÖµç¿Í·þÍŶÓÒªÇó×¢ÏúÕ˺ţ¬£¬ £¬£¬£¬ÎÒÃÇ»áÔÚÄú×¢ÏúÕ˺źóʵʱɾ³ýÄúµÄСÎÒ˽¼ÒÐÅÏ¢»ò¶ÔÄúµÄСÎÒ˽¼ÒÐÅÏ¢¾ÙÐÐÄäÃû»¯´¦Öóͷ£ ¡£¡£¡£ ¡£¡£

£¨ËÄ£©¸Ä±äÄúÊÚȨÔ޳ɵĹæÄ£

ÿ¸öÓªÒµ¹¦Ð§ÐèҪһЩ»ù±¾µÄСÎÒ˽¼ÒÐÅÏ¢²Å»ªµÃÒÔÍê³É£¨¼û±¾Õþ²ß¡°µÚÒ»²¿·Ö¡±£© ¡£¡£¡£ ¡£¡£¹ØÓÚÌØÊâÍøÂçµÄСÎÒ˽¼ÒÐÅÏ¢µÄÍøÂçºÍʹÓ㬣¬ £¬£¬£¬Äú¿ÉÒÔËæÊ±¸øÓè»òÊÕ»ØÄúµÄÊÚȨÔÞ³É ¡£¡£¡£ ¡£¡£Äú¿ÉÒÔͨ¹ý¹Ø±Õ×°±¸¹¦Ð§µÈ·½·¨¸Ä±äÄúÊÚȨÎÒÃǼÌÐøÍøÂçÐÅÏ¢µÄ¹æÄ£»ò³·»ØÄúµÄÊÚȨ£º

µ±ÄúÊÕ»ØÔ޳ɺ󣬣¬ £¬£¬£¬ÎÒÃǽ«²»ÔÙ´¦Öóͷ£ÏìÓ¦µÄСÎÒ˽¼ÒÐÅÏ¢ ¡£¡£¡£ ¡£¡£µ«ÄúÊÕ»ØÔ޳ɵľöÒ飬£¬ £¬£¬£¬²»»áÓ°Ïì´Ëǰ»ùÓÚÄúµÄÊÚȨ¶ø¿ªÕ¹µÄСÎÒ˽¼ÒÐÅÏ¢´¦Öóͷ£ ¡£¡£¡£ ¡£¡£

£¨Î壩ͶËß¾Ù±¨

Äú¿Éƾ֤ÎÒÃǹ«Ê¾µÄÖÆ¶È¾ÙÐÐͶËß»ò¾Ù±¨ ¡£¡£¡£ ¡£¡£ÈôÊÇÄúÒÔΪÄúµÄСÎÒ˽¼ÒÐÅϢȨÁ¦¿ÉÄÜÊܵ½Ë𺦣¬£¬ £¬£¬£¬»òÕß·¢Ã÷Ëðº¦Ð¡ÎÒ˽¼ÒÐÅϢȨÁ¦µÄÏßË÷£¨ÀýÈ磺ÒÔΪÎÒÃÇÍøÂçÄúµÄСÎÒ˽¼ÒÐÅϢΥ·´Ö´·¨»®¶¨»òÕßË«·½Ô¼¶¨£©£¬£¬ £¬£¬£¬Äú¿ÉÒÔ½øÈë¿Í·þÖÐÐĽçÃæ»òÖµç¿Í·þµç»°¡¢ÓëÎÒÃÇÁªÏµ ¡£¡£¡£ ¡£¡£ÎÒÃǺ˲éºó»áʵʱ·´ÏìÄúµÄͶËßÓë¾Ù±¨ ¡£¡£¡£ ¡£¡£

£¨Áù£©Ô¼ÊøÐÅϢϵͳ×Ô¶¯¾öÒé

ÔÚijЩӪҵ¹¦Ð§ÖУ¬£¬ £¬£¬£¬ÎÒÃÇ¿ÉÄÜÔËÓ÷ÇÈ˹¤×Ô¶¯¾öÒé»úÖÆ×ö³ö¾öÒ飬£¬ £¬£¬£¬ÈôÊÇÕâЩ¾öÒéÏÔÖøÓ°ÏìÄúµÄÕýµ±È¨Ò棬£¬ £¬£¬£¬ÄúÓÐȨҪÇóÎÒÃÇ×ö³öÚ¹ÊÍ ¡£¡£¡£ ¡£¡£

¹ØÓÚÄúºÏÀíµÄÇëÇ󣬣¬ £¬£¬£¬ÎÒÃÇÔ­ÔòÉϲ»ÊÕÈ¡Óöȣ¬£¬ £¬£¬£¬µ«¶Ô¶à´ÎÖØ¸´¡¢Áè¼ÝºÏÀíÏ޶ȵÄÇëÇ󣬣¬ £¬£¬£¬ÎÒÃǽ«ÊÓÇéÊÕȡһ¶¨±¾Ç®ÓÃ¶È ¡£¡£¡£ ¡£¡£¹ØÓÚÄÇЩÎÞ¹ÊÖØ¸´¡¢ÐèÒª¹ý¶àÊÖÒÕÊֶΣ¨ÀýÈ磬£¬ £¬£¬£¬ÐèÒª¿ª·¢ÐÂϵͳ»ò´Ó»ù´¡ÉϸıäÏÖÐÐÀÏÀý£©¡¢¸øËûÈËÕýµ±È¨Òæ´øÀ´Î£º¦»òÕߺÜÊDz»ÇÐÏÖʵ£¨ÀýÈ磬£¬ £¬£¬£¬Éæ¼°±¸·Ý´Å´øÉÏ´æ·ÅµÄÐÅÏ¢£©µÄÇëÇ󣬣¬ £¬£¬£¬ÎÒÃÇ¿ÉÄÜ»áÓèÒԾܾø ¡£¡£¡£ ¡£¡£

ÔÚÒÔÏÂÇéÐÎÖУ¬£¬ £¬£¬£¬Æ¾Ö¤Ö´ÂÉÀýÔòÒªÇ󣬣¬ £¬£¬£¬ÎÒÃǽ«ÎÞ·¨ÏìÓ¦ÄúµÄÇëÇó£º

1¡¢Óë¹ú¼ÒÇå¾²¡¢¹ú·ÀÇå¾²ÓйصÄ£»£»£»£»£»£»£»

2¡¢Ó빫¹²Çå¾²¡¢¹«¹²ÎÀÉú¡¢ÖØÖÁ¹«¹²ÀûÒæÓйصÄ£»£»£»£»£»£»£»

3¡¢Óë·¸·¨Õì²é¡¢ÆðËߺÍÉóѶµÈÓйصÄ£»£»£»£»£»£»£»

4¡¢Óгä·ÖÖ¤¾ÝÅú×¢Äú±£´æÖ÷¹Û¶ñÒâ»òÀÄÓÃȨÁ¦µÄ£»£»£»£»£»£»£»

5¡¢ÏìÓ¦ÄúµÄÇëÇ󽫵¼ÖÂÄú»òÆäËûСÎÒ˽¼Ò¡¢×éÖ¯µÄÕýµ±È¨ÒæÊܵ½ÑÏÖØËðº¦µÄ ¡£¡£¡£ ¡£¡£

Áù¡¢ÎÒÃÇÈçÄÇÀïÖöùͯµÄСÎÒ˽¼ÒÐÅÏ¢

¿Ú´üÅ£µêAPP-ÖúÁ¦ÌåÓýÈüÊÂЧÀÍÊý×Ö»¯ ÈÃÈüÊÂÔËÓª¸ü¼òÆÓ²úÆ·¡¢ÍøÕ¾ºÍЧÀÍÖ÷ÒªÃæÏò³ÉÈË ¡£¡£¡£ ¡£¡£ÈôÊÇûÓÐâïÊÑ»ò¼à»¤È˵ÄÔ޳ɣ¬£¬ £¬£¬£¬¶ùͯ²»µÃ½¨Éè×Ô¼ºµÄÓû§ÕË»§ ¡£¡£¡£ ¡£¡£

¹ØÓÚ¾­âïÊÑÔ޳ɶøÍøÂç¶ùͯСÎÒ˽¼ÒÐÅÏ¢µÄÇéÐΣ¬£¬ £¬£¬£¬ÎÒÃÇÖ»»áÔÚÊܵ½Ö´·¨ÔÊÐí¡¢âïÊÑ»ò¼à»¤ÈËÃ÷È·Ô޳ɻòÕß±£»£»£»£»£»£»£»¤¶ùͯËùÐëÒªµÄÇéÐÎÏÂʹÓûò¹ûÕæÅû¶´ËÐÅÏ¢ ¡£¡£¡£ ¡£¡£

Ö»¹ÜÍâµØÖ´·¨ºÍϰË×¶Ô¶ùͯµÄ½ç˵²î±ð£¬£¬ £¬£¬£¬µ«ÎÒÃǽ«²»Âú 14 ÖÜËêµÄÈκÎÈ˾ùÊÓΪ¶ùͯ ¡£¡£¡£ ¡£¡£

ÈôÊÇÎÒÃÇ·¢Ã÷×Ô¼ºÔÚδÊÂÏÈ»ñµÃ¿É֤ʵµÄâïÊÑÔ޳ɵÄÇéÐÎÏÂÍøÂçÁ˶ùͯµÄСÎÒ˽¼ÒÐÅÏ¢£¬£¬ £¬£¬£¬Ôò»áÏë·¨¾¡¿ìɾ³ýÏà¹ØÊý¾Ý ¡£¡£¡£ ¡£¡£

Æß¡¢ÄúµÄСÎÒ˽¼ÒÐÅÏ¢ÔõÑùÔÚÈ«Çò¹æÄ£×ªÒÆ

Ô­ÔòÉÏ£¬£¬ £¬£¬£¬ÎÒÃÇÔÚÖлªÈËÃñ¹²ºÍ¹ú¾³ÄÚÍøÂçºÍ±¬·¢µÄСÎÒ˽¼ÒÐÅÏ¢£¬£¬ £¬£¬£¬½«´æ´¢ÔÚÖлªÈËÃñ¹²ºÍ¹ú¾³ÄÚ ¡£¡£¡£ ¡£¡£

ÓÉÓÚÎÒÃÇͨ¹ý±é²¼È«ÇòµÄ×ÊÔ´ºÍЧÀÍÆ÷Ìṩ²úÆ·»òЧÀÍ£¬£¬ £¬£¬£¬ÕâÒâζ×Å£¬£¬ £¬£¬£¬ÔÚ»ñµÃÄúµÄÊÚȨÔ޳ɺ󣬣¬ £¬£¬£¬ÄúµÄСÎÒ˽¼ÒÐÅÏ¢¿ÉÄÜ»á±»×ªÒÆµ½ÄúʹÓòúÆ·»òЧÀÍËùÔÚ¹ú¼Ò/µØÇøµÄ¾³ÍâͳÁìÇø£¬£¬ £¬£¬£¬»òÕßÊܵ½À´×ÔÕâЩͳÁìÇøµÄ»á¼û ¡£¡£¡£ ¡£¡£

´ËÀàͳÁìÇø¿ÉÄÜÉèÓвî±ðµÄÊý¾Ý±£»£»£»£»£»£»£»¤·¨£¬£¬ £¬£¬£¬ÉõÖÁδÉèÁ¢Ïà¹ØÖ´·¨ ¡£¡£¡£ ¡£¡£ÔÚ´ËÀàÇéÐÎÏ£¬£¬ £¬£¬£¬ÎÒÃÇ»áÈ·±£ÄúµÄСÎÒ˽¼ÒÐÅÏ¢»ñµÃÔÚÖлªÈËÃñ¹²ºÍ¹ú¾³ÄÚ×ã¹»Ò»Âɵı£»£»£»£»£»£»£»¤ ¡£¡£¡£ ¡£¡£ÀýÈ磬£¬ £¬£¬£¬ÎÒÃÇ»áÇëÇóÄú¶Ô¿ç¾³×ªÒÆÐ¡ÎÒ˽¼ÒÐÅÏ¢µÄÔ޳ɣ¬£¬ £¬£¬£¬»òÕßÔÚ¿ç¾³Êý¾Ý×ªÒÆÖ®Ç°ÊµÑéÊý¾ÝÈ¥±êʶ»¯µÈÇå¾²Ðж¯ ¡£¡£¡£ ¡£¡£

°Ë¡¢±¾Òþ˽ȨÕþ²ßÔõÑù¸üÐÂ

ÎÒÃÇ¿ÉÄÜÊÊʱ»á¶Ô±¾Òþ˽ȨÕþ²ß¾ÙÐе÷½â»ò±ä»»£¬£¬ £¬£¬£¬±¾Òþ˽ȨÕþ²ßµÄÈκθüн«ÒÔ±ê×¢¸üÐÂʱ¼äµÄ·½·¨Ðû²¼ÔÚÎÒÃÇÍøÕ¾ÉÏ£¬£¬ £¬£¬£¬³ýÖ´ÂÉÀýÔò»òî¿Ïµ»®¶¨ÉÐÓÐÇ¿ÖÆÐÔ»®¶¨Í⣬£¬ £¬£¬£¬¾­µ÷½â»ò±ä»»µÄÄÚÈÝÒ»¾­Í¨Öª»òÐû²¼ºóµÄ7ÈÕºóÉúЧ ¡£¡£¡£ ¡£¡£ÈçÄúÔÚÒþ˽ȨÕþ²ßµ÷½â»ò±ä»»ºó¼ÌÐøÊ¹ÓÃÎÒÃÇÌṩµÄÈÎһЧÀÍ»ò»á¼ûÎÒÃÇÏà¹ØÍøÕ¾µÄ£¬£¬ £¬£¬£¬ÎÒÃÇÐÅÍÐÕâ´ú±íÄúÒѳä·ÖÔĶÁ¡¢Ã÷È·²¢½ÓÊÜÐ޸ĺóµÄÒþ˽ȨÕþ²ß²¢ÊÜÆäÔ¼Êø ¡£¡£¡£ ¡£¡£

¾Å¡¢ÔõÑùÁªÏµ¿Ú´üÅ£µêAPP-ÖúÁ¦ÌåÓýÈüÊÂЧÀÍÊý×Ö»¯ ÈÃÈüÊÂÔËÓª¸ü¼òÆÓ

1¡¢ÈçÄú¶Ô±¾Òþ˽Õþ²ßÄÚÈÝÓÐÈκÎÒÉÎÊ¡¢Òâ¼û»ò½¨Ò飬£¬ £¬£¬£¬Äú¿ÉËæÊ±Í¨¹ý±¾ÍøÕ¾¿Í·þÓëÎÒÃÇÁªÏµ ¡£¡£¡£ ¡£¡£ÄãÒ²¿ÉÒÔ½«ÄãµÄÒÉÎÊ¡¢Òâ¼û»ò½¨Òé·¢ËÍÖÁmarket@jd-link.com ¡£¡£¡£ ¡£¡£


2¡¢ÈôÊÇÄú¶Ô¿Ú´üÅ£µêAPP-ÖúÁ¦ÌåÓýÈüÊÂЧÀÍÊý×Ö»¯ ÈÃÈüÊÂÔËÓª¸ü¼òÆÓ»Ø¸´²»Öª×㣬£¬ £¬£¬£¬ÒÔΪ¿Ú´üÅ£µêAPP-ÖúÁ¦ÌåÓýÈüÊÂЧÀÍÊý×Ö»¯ ÈÃÈüÊÂÔËÓª¸ü¼òÆÓСÎÒ˽¼ÒÐÅÏ¢´¦Öóͷ£ÐÐΪËðº¦ÁËÄúµÄÕýµ±È¨Ò棬£¬ £¬£¬£¬Äú¿ÉÏòÍøÐÅ¡¢µçÐÅ¡¢¹«°²¼°¹¤É̵Èî¿Ïµ²¿·Ö¾ÙÐоٱ¨»òÏòλÓÚÖйú½­ËÕÊ¡µÄÎÞÎýÊÐÐÂÎâÇøÈËÃñ·¨ÔºÌáÆðËßËÏ ¡£¡£¡£ ¡£¡£


¡¾ÍøÕ¾µØÍ¼¡¿¡¾sitemap¡¿